помогите решить систему уравнения 8 класса, буду очень благодарна
хотя бы одну из них, кроме 2 и 4
Приложения:

Ответы
Ответ дал:
0
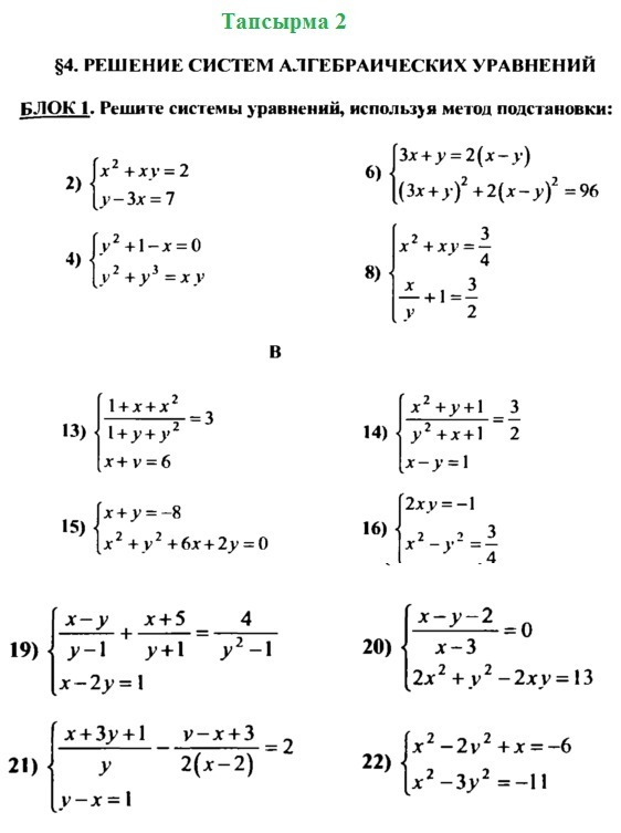
6.
3x + y = 2x - 2y Выразим x:
x = -3y
Приведем к стандартному виду 2 уравнение:
9x^2 + 6xy + y^2 + 2x^2 - 4xy +2y^2 = 96
Подставим -3y вместо x:
81y^2 - 18y^2 +y^2 + 18y^2 + 12y^2 + 2y^2 = 96
Проссумировав получим:
96y^2 = 96, т.е. y^2 = 1, тогда y1 = 1, y2 = -1
Найдем х:
x1 = -3, x2 = 3
Ответ:
y1 = 1, x1 = -3
y2 = -1, x2 = 3
13.
x + y = 6, выразим х = 6-y
Подставим во второе уравнение 6-y вместо х, перенесем правую часть, приведем к общему знаменателю:
(1+6-y+36-12y+y^2 -3 -3y -3y^2)/(1+у+у^2) = 0
Рассмотрим числитель:
-2y^2 -16y+40 = 0 ----> 2y^2 + 16y - 40 = 0
Д/4 = 64 + 80 = 144, корень(144) = 12
y1 = (-8 + 12)/2 = 2 , y2 = (-8-12)/2 = -10
Найдем х:
х1 = 6 - 2 = 4 , х2 = 6 -(-10) = 16
Рассмотрев знаменатель скажем, что y не может равняться -1.
Ответ:
x1 = 4, y1 = 2
x2 = 16, y2 = -10
22.
x^2 - 3y^2 = -11, тогда y^2 = (11+x^2)/3
Подставим во второе уравнение и получим:
x^2 - 22/3 -2x^2/3 + x = -6 домножим на 3 и перенесем правую часть:
3x^2 - 22 -2x^2 + 3x + 18 = 0 ----> x^2 + 3x - 4 = 0
D = 9 + 16 = 25 корень(25) = 5
x1 = (-3+5)/2 = 1 , тогда y1^2 = (11+1)/3 = 4, y11 = 2, y12 = -2
x2 = (-3-5)/2 = -4, тогда y2^2 = (11+16)/3 = 9, y21 = 3, y22 = -3
Получаем следующие корни:
x1 = 1, y1 = 2
x2 = 1, y2 = -2
x3 = -4, y3 = 3
x4 = -4, y4 = -3
3x + y = 2x - 2y Выразим x:
x = -3y
Приведем к стандартному виду 2 уравнение:
9x^2 + 6xy + y^2 + 2x^2 - 4xy +2y^2 = 96
Подставим -3y вместо x:
81y^2 - 18y^2 +y^2 + 18y^2 + 12y^2 + 2y^2 = 96
Проссумировав получим:
96y^2 = 96, т.е. y^2 = 1, тогда y1 = 1, y2 = -1
Найдем х:
x1 = -3, x2 = 3
Ответ:
y1 = 1, x1 = -3
y2 = -1, x2 = 3
13.
x + y = 6, выразим х = 6-y
Подставим во второе уравнение 6-y вместо х, перенесем правую часть, приведем к общему знаменателю:
(1+6-y+36-12y+y^2 -3 -3y -3y^2)/(1+у+у^2) = 0
Рассмотрим числитель:
-2y^2 -16y+40 = 0 ----> 2y^2 + 16y - 40 = 0
Д/4 = 64 + 80 = 144, корень(144) = 12
y1 = (-8 + 12)/2 = 2 , y2 = (-8-12)/2 = -10
Найдем х:
х1 = 6 - 2 = 4 , х2 = 6 -(-10) = 16
Рассмотрев знаменатель скажем, что y не может равняться -1.
Ответ:
x1 = 4, y1 = 2
x2 = 16, y2 = -10
22.
x^2 - 3y^2 = -11, тогда y^2 = (11+x^2)/3
Подставим во второе уравнение и получим:
x^2 - 22/3 -2x^2/3 + x = -6 домножим на 3 и перенесем правую часть:
3x^2 - 22 -2x^2 + 3x + 18 = 0 ----> x^2 + 3x - 4 = 0
D = 9 + 16 = 25 корень(25) = 5
x1 = (-3+5)/2 = 1 , тогда y1^2 = (11+1)/3 = 4, y11 = 2, y12 = -2
x2 = (-3-5)/2 = -4, тогда y2^2 = (11+16)/3 = 9, y21 = 3, y22 = -3
Получаем следующие корни:
x1 = 1, y1 = 2
x2 = 1, y2 = -2
x3 = -4, y3 = 3
x4 = -4, y4 = -3
Вас заинтересует
2 года назад
7 лет назад
7 лет назад
9 лет назад
9 лет назад