• Предмет: Алгебра
  • Автор: Ravnaaaa
  • Вопрос задан 9 лет назад

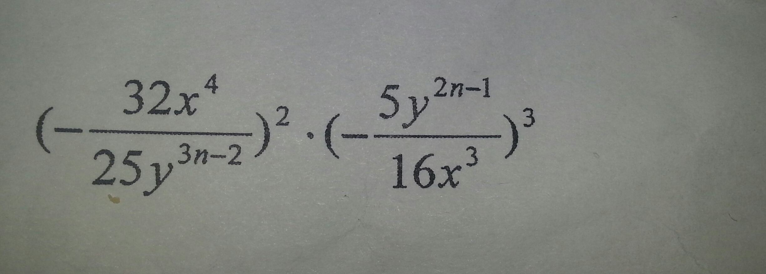
ПОМОГИТЕ ПЛИЗ НУЖНО УПРОСТИТЬ

Приложения:

Ответы

Ответ дал: ВладимирБ
0
Решение смотри в приложении
Приложения:
Вас заинтересует