• Предмет: Геометрия
  • Автор: нюша2605
  • Вопрос задан 9 лет назад

помогите пожалуйста!
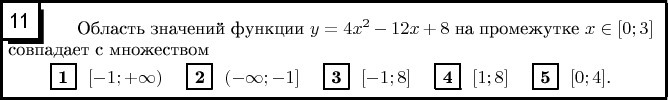
ОБЛАСТЬ значения функции

Приложения:

Ответы

Ответ дал: Лерочка267
0
решение в файле. Ответ 1
Приложения:
Ответ дал: LFP
0
у(3/2)=-1. Ответ: 3)
Вас заинтересует