• Предмет: Алгебра
  • Автор: Karina1501
  • Вопрос задан 11 лет назад

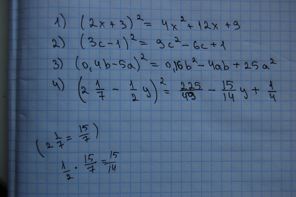
Піднести до квадрата: 1)(2х+3)2(це в квадраті)       2)3с-1)2     3)0.4b-5а)2      4)2 1/7-1/2y)2

Ответы

Ответ дал: Sasha130
0

с последним не уверина т.к. не очень поняла как у тебя написано 

Приложения:
Вас заинтересует