• Предмет: Математика
  • Автор: popp2
  • Вопрос задан 9 лет назад

С решением пожалуйста!

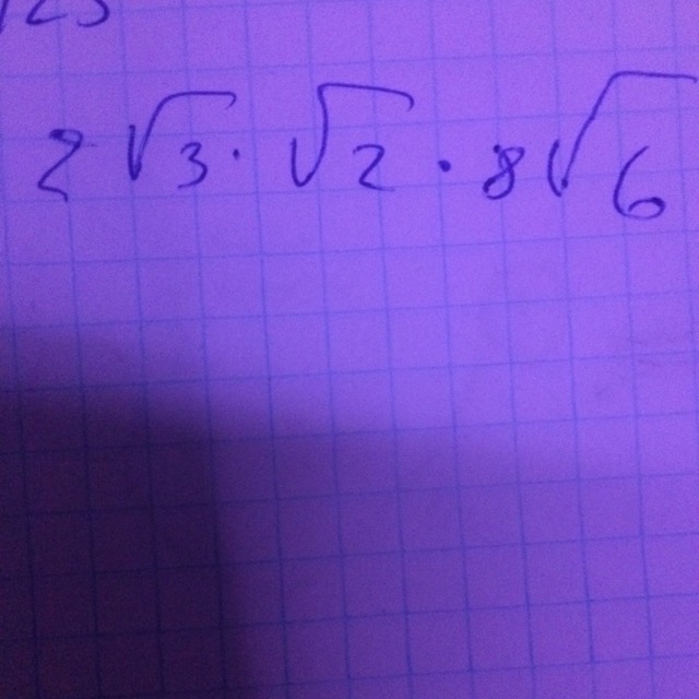
Приложения:

Ответы

Ответ дал: Том1284
0
2/3 * /2 * 8/6 = 2*8/3*2*6=16*6=96
Ответ: 96
Ответ дал: Том1284
0
и почему?
Ответ дал: love67
0
2*8*6
Ответ дал: love67
0
верно все 2 *8 * корень 36
Ответ дал: love67
0
можно под корень все внести
Ответ дал: love67
0
Том1284 есть редактор формул там есть значок корня
Вас заинтересует