Помогите пожалуйста решить задание,я уже 2 раз оглашаю вопрос,но ни от кого помощи нет,задание на фото(заранее спасибо
Приложения:
Ответы
Ответ дал:
0
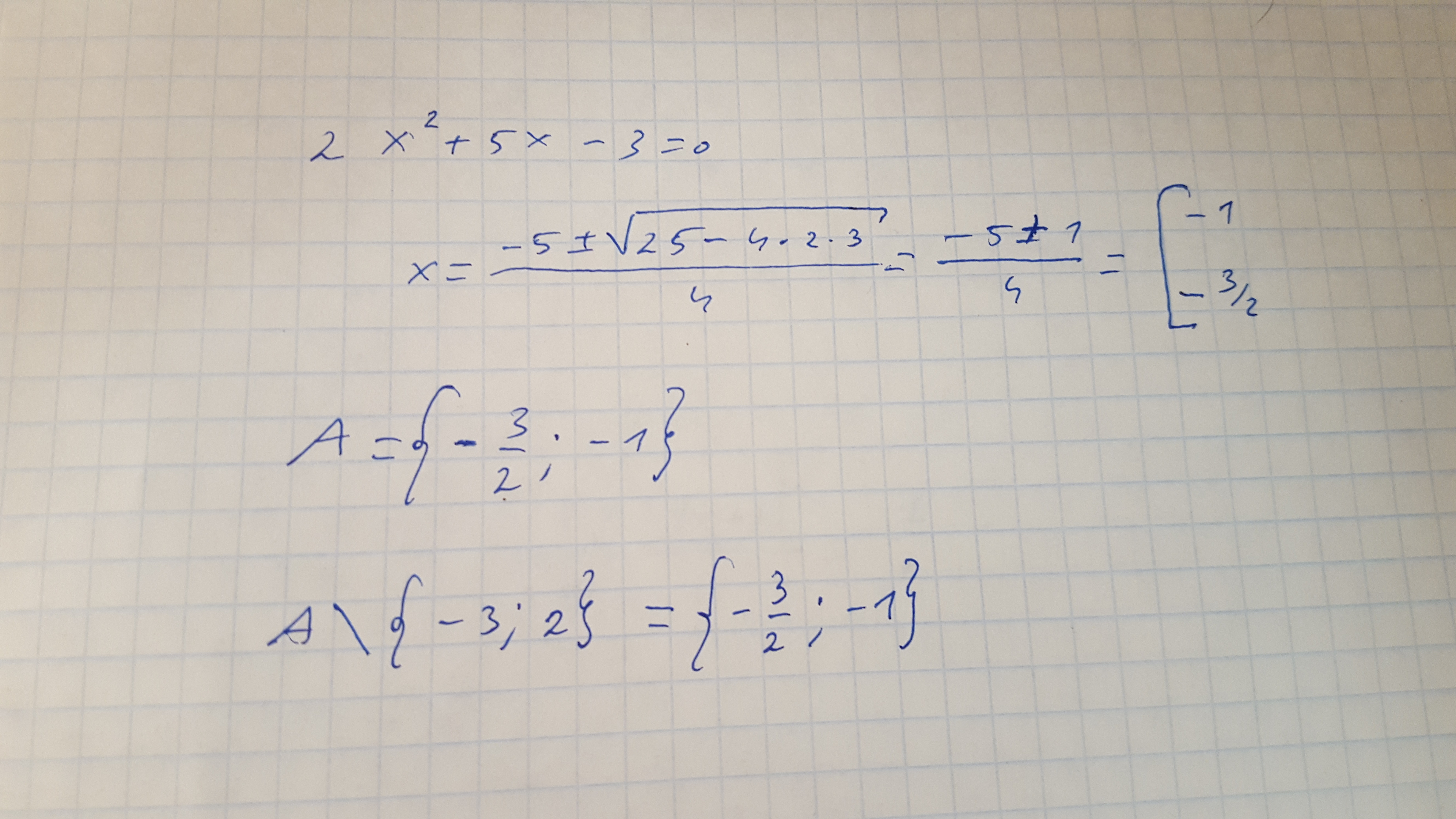
Уравнение имеет 2 действительных корня: -3/2 и -1
Получаем множество А = {-3/2; -1}
Дальше из него исключаем -3 и 2 и получаем по сути то же самое множество
Получаем множество А = {-3/2; -1}
Дальше из него исключаем -3 и 2 и получаем по сути то же самое множество
Приложения:
Ответ дал:
0
Спасибо
Ответ дал:
0
Я ошибся немного. Корни уравнения: ½ и -3. Тогда А = {-3; ½}, а А{-3; 2} = {½}. Ответ: {½}
Вас заинтересует
3 года назад
10 лет назад