Задача 10. Кодируем деревом
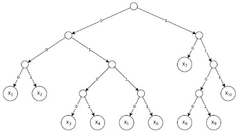
Будем использовать кодирование с помощью дерева, в листьях которого написаны буквы, а на каждом ребре — либо 0 либо 1 (см. рисунок). Чтобы закодировать букву, нужно пройти по дереву от корня до этой буквы, записав все цифры на ребрах этого пути. Мы закодировали фразу “мистерфокссмотрелкомикс” и получили последовательность:
000010110010001110110110100111110100000010100011001111100111001000010111110
Определите, какая переменная какой букве соответствует в дереве. В ответ запишите подряд без пробелов 10 букв, соответствующих $x_1$, $x_2$, … , $x_{10}$ .
Приложения:

Ответы
Ответ дал:
0
Последовательность от х1 до х10 - мотиреслфк
Вас заинтересует
2 года назад
2 года назад
7 лет назад
7 лет назад
9 лет назад
9 лет назад