Ответы
Ответ дал:
0
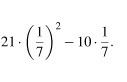
21* 1/49-10/7=21/49-10/7=-49/49=-1
(14/11+17/10)*11/15=(14/11*11/15)+(17/10*11/15)=14/15+187/150=327/150
(11/18+2/9):5/48=15/18:5/48=15/18*48/5=24/3
(14/11+17/10)*11/15=(14/11*11/15)+(17/10*11/15)=14/15+187/150=327/150
(11/18+2/9):5/48=15/18:5/48=15/18*48/5=24/3
Ответ дал:
0
нет
Ответ дал:
0
неееет
Ответ дал:
0
49
Ответ дал:
0
ссори ребят
Ответ дал:
0
изменил
Вас заинтересует
2 года назад
2 года назад
7 лет назад
7 лет назад
10 лет назад
10 лет назад
10 лет назад