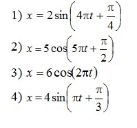
Даны уравнения гармонических колебаний четырёх пружинных маятников с одинаковыми коэффициентами упругости k. Маятник, имеющий наибольшую массу – ....
(варианты ответа на картинке).
Приложения:

Ответы
Ответ дал:
0
ω=√(k/m)
Чем больше масса, тем меньше ω
Этому условию соответствует 4 ответ (ω=π)
==========================
Чем больше масса, тем меньше ω
Этому условию соответствует 4 ответ (ω=π)
==========================
Вас заинтересует
2 года назад
7 лет назад
9 лет назад
9 лет назад
10 лет назад