Ответы
Ответ дал:
0
Задач много, но они все почти одинаковые.
Разберу самые интересные.
Главное - сразу выясняй ОДЗ.
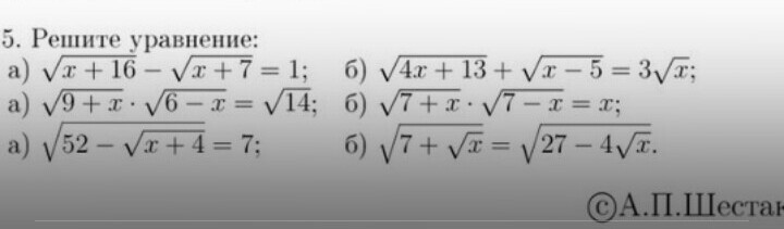
1) √(4x+13)+√(x-5)=3√x
ОДЗ:
{ 4x+13>=0
{ x-5>=0
{ x>=0
Получаем x>=5
Решаем. Возводим в квадрат.
4x+13+2√[(4x+13)(x-5)]+x-5=9x
Оставляем корень слева.
2√(4x^2-7x-65)=9x-5x+5-13=4x-8
Делим на 2
√(4x^2-7x-65)=2x-4
Снова возводим в квадрат
4x^2-7x-65=4x^2-16x+16
17x-7x=16+65
10x=81
x=8,1>5 - подходит. Это ответ.
2) √(9+x)*√(6-x)=√14
ОДЗ:
{ 9+x>=0
{ 6-x>=0
Получаем -9<= x<=6
Решаем. Возводим в квадрат.
(9+x)(6-x)=14
54-3x-x^2-14=0
x^2+3x-40=(x+8)(x-5)=0
x1=-8; x2=5. Оба корня принадлежат ОДЗ. Это ответ.
3) √[52-√(x+4)]=7
ОДЗ
{ x+4>=0
{ 52-√(x+4)>=0
Получаем -4<=x<=52^2-4=2700
Решаем. Возводим в квадрат.
52-√(x+4)=49
√(x+4)=52-49=3
Снова возводим в квадрат.
x+4=9
x=5 - подходит. Это ответ.
4) √(7+√x)=√(27-4√x)
ОДЗ
{ x>=0
{ 7+√x>=0
{ 27-4√x>=0
Получаем 0<=x<=(27/4)^2=729/16
Возводим в квадрат
7+√x=27-4√x
5√x=27-7=20
√x=20/5=4
x=4^2=16 - подходит. Это ответ.
Разберу самые интересные.
Главное - сразу выясняй ОДЗ.
1) √(4x+13)+√(x-5)=3√x
ОДЗ:
{ 4x+13>=0
{ x-5>=0
{ x>=0
Получаем x>=5
Решаем. Возводим в квадрат.
4x+13+2√[(4x+13)(x-5)]+x-5=9x
Оставляем корень слева.
2√(4x^2-7x-65)=9x-5x+5-13=4x-8
Делим на 2
√(4x^2-7x-65)=2x-4
Снова возводим в квадрат
4x^2-7x-65=4x^2-16x+16
17x-7x=16+65
10x=81
x=8,1>5 - подходит. Это ответ.
2) √(9+x)*√(6-x)=√14
ОДЗ:
{ 9+x>=0
{ 6-x>=0
Получаем -9<= x<=6
Решаем. Возводим в квадрат.
(9+x)(6-x)=14
54-3x-x^2-14=0
x^2+3x-40=(x+8)(x-5)=0
x1=-8; x2=5. Оба корня принадлежат ОДЗ. Это ответ.
3) √[52-√(x+4)]=7
ОДЗ
{ x+4>=0
{ 52-√(x+4)>=0
Получаем -4<=x<=52^2-4=2700
Решаем. Возводим в квадрат.
52-√(x+4)=49
√(x+4)=52-49=3
Снова возводим в квадрат.
x+4=9
x=5 - подходит. Это ответ.
4) √(7+√x)=√(27-4√x)
ОДЗ
{ x>=0
{ 7+√x>=0
{ 27-4√x>=0
Получаем 0<=x<=(27/4)^2=729/16
Возводим в квадрат
7+√x=27-4√x
5√x=27-7=20
√x=20/5=4
x=4^2=16 - подходит. Это ответ.
Ответ дал:
0
Спасибо,огромное)
Ответ дал:
0
Пожалуйста не менее огромное )
Вас заинтересует
3 года назад
7 лет назад
7 лет назад