• Предмет: Математика
  • Автор: Vovaselivanov
  • Вопрос задан 9 лет назад

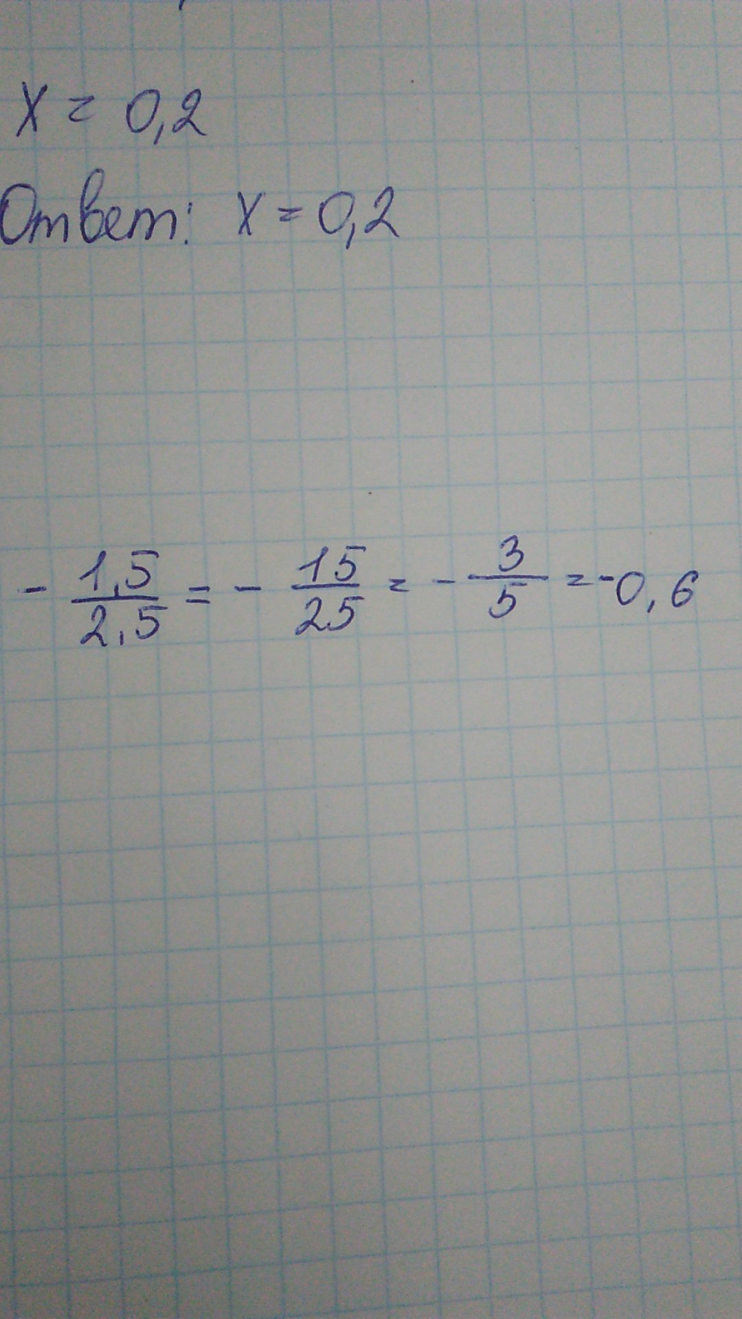
выполните деление

-1,5/2,5=?

Ответы

Ответ дал: AnastasiaLetova
0
ответ находится на фотографии
Приложения:
Ответ дал: Vovaselivanov
0
нет, не это!
Ответ дал: AnastasiaLetova
0
а как?
Ответ дал: Vovaselivanov
0
это не дробь!
Ответ дал: AnastasiaLetova
0
решение все равно такое же будет
Вас заинтересует