• Предмет: Математика
  • Автор: BroGirly
  • Вопрос задан 9 лет назад

помогите пожалуйста !!!!!!

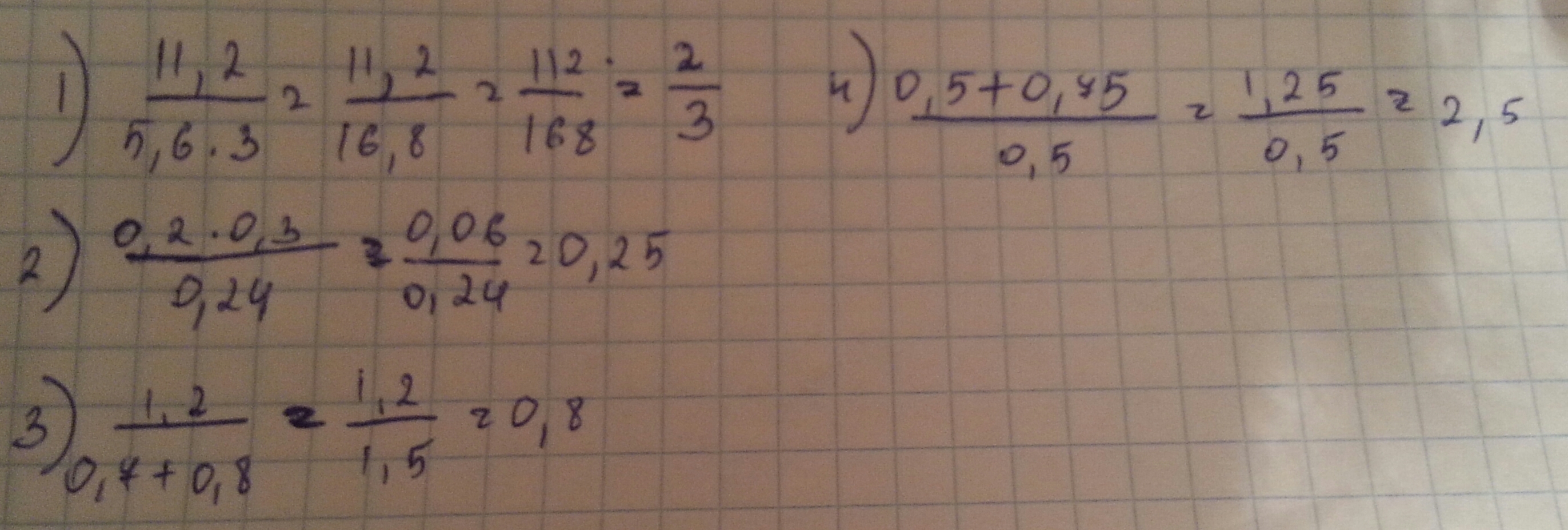
а). 11,2
_____
5,6×3

б). 0,2×0,3
_______
0,24

в). 1,2
______
0,7+0,8

г). 0,5+0,75
________
0,5

Ответы

Ответ дал: Alina250111
0
Вот))) Я старалась) Надеюсь правильно
Приложения:
Ответ дал: BroGirly
0
Спасибо огромное!!!
Ответ дал: Alina250111
0
Незачто)))
Вас заинтересует