• Предмет: Алгебра
  • Автор: kshangina
  • Вопрос задан 9 лет назад

Помогите решить неравенство. Спасибо заранее)))

Приложения:

Ответы

Ответ дал: IrkaShevko
0
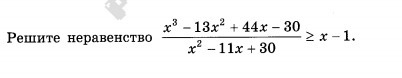
 frac{x^3-13x^2+44x-30}{x^2-11x+30} -(x-1) geq 0\
 frac{x^3-13x^2+44x-30-x^3+11x^2-30x+x^2-11x+30}{x^2-11x+30} geq 0\
 frac{x^2+3x}{x^2-11x+30}  geq 0\
 frac{x(x+3)}{(x-6)(x-5)}  geq 0

__+___[-3]_____-____[0]____+____(5)____-____(6)_____+___

x∈(-∞;-3]U[0; 5)U(6;+∞)
Вас заинтересует