Ответы
Ответ дал:
0
Решение смотри в приложениях
Приложения:



Ответ дал:
0
10
Если дискриминант больше 0,то уравнение имеет 2 различных корня
1)3x²+7x+5=0
D=49-60=-11<0
2)9x²+6x+1=0
D=36-36=0
3)5x²-6x+1=0
D=36-20=16>0
4)2x²-5x+5=0
D=25-40=-15<0
Ответ 3
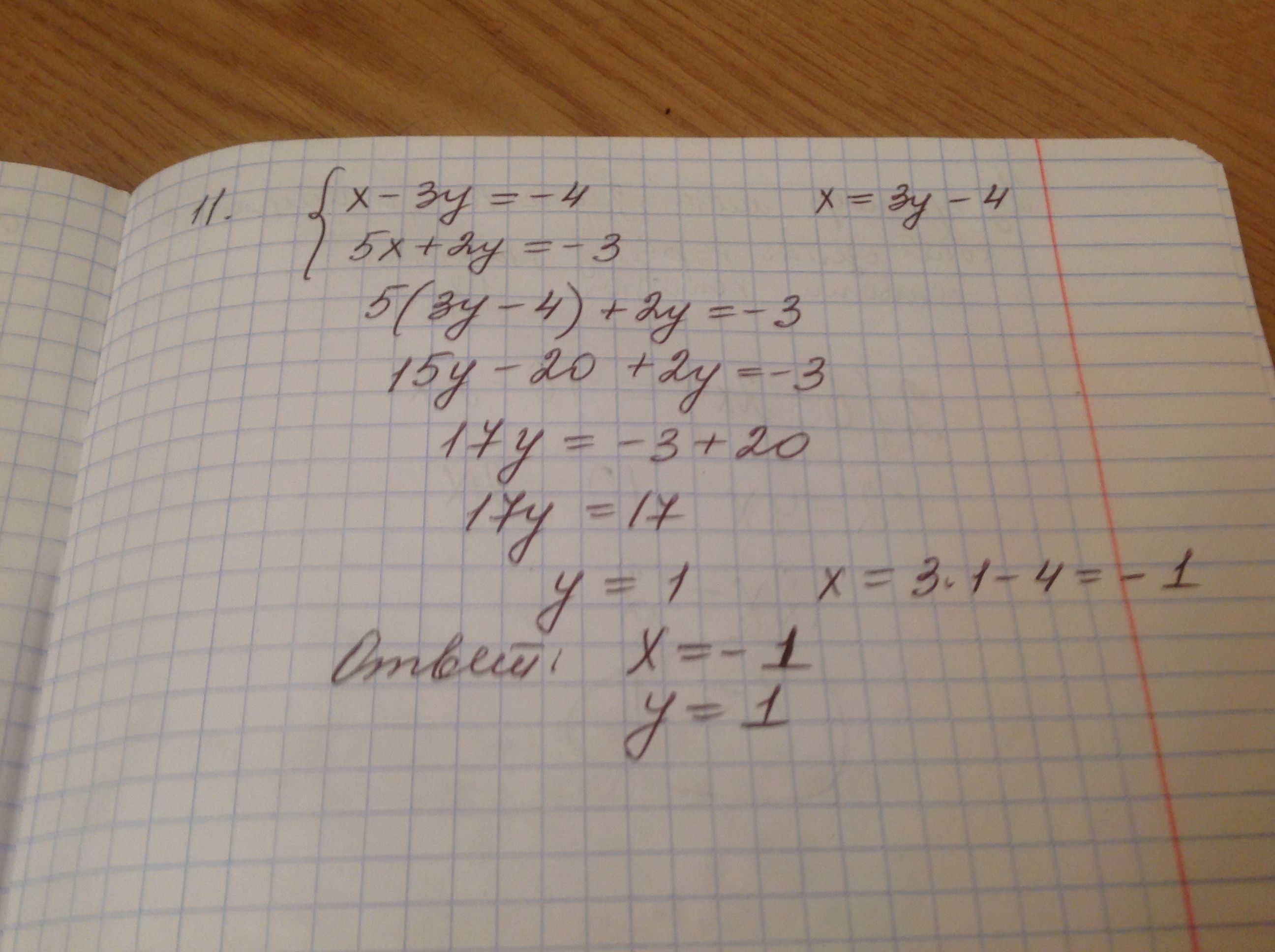
11
{x-3y=-4/*(-5)⇒-5x+15y=20
{5x+2y=-3
прибавим
17y=17
y=17:17
y=1
x-3=-4
x=-4+3
x=-1
Ответ (-1;1)
12
От каждой стороны отрезают по 2х,значит одна сторона станет 10-2см,а другая 6-2хсм. Тогда площадь равна
S=(10=2x)(6-2x)=18
Ответ 4
3y=1+4
Если дискриминант больше 0,то уравнение имеет 2 различных корня
1)3x²+7x+5=0
D=49-60=-11<0
2)9x²+6x+1=0
D=36-36=0
3)5x²-6x+1=0
D=36-20=16>0
4)2x²-5x+5=0
D=25-40=-15<0
Ответ 3
11
{x-3y=-4/*(-5)⇒-5x+15y=20
{5x+2y=-3
прибавим
17y=17
y=17:17
y=1
x-3=-4
x=-4+3
x=-1
Ответ (-1;1)
12
От каждой стороны отрезают по 2х,значит одна сторона станет 10-2см,а другая 6-2хсм. Тогда площадь равна
S=(10=2x)(6-2x)=18
Ответ 4
3y=1+4
Приложения:



Ответ дал:
0
S=(10=2x)(6-2x)=18 Опечатка
Ответ дал:
0
3y=1+4 ?
Вас заинтересует
2 года назад
2 года назад
7 лет назад
9 лет назад
9 лет назад
10 лет назад