• Предмет: Алгебра
  • Автор: kokos19122001
  • Вопрос задан 9 лет назад

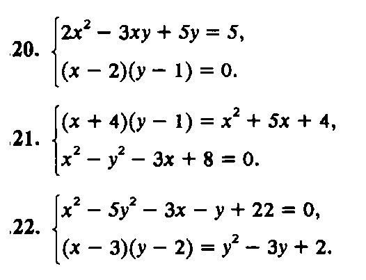
Розвяжите системы пожалуйста))

Приложения:

Ответа на этот вопрос пока нет. Попробуйте найти его через форму поиска.

Вас заинтересует