• Предмет: Алгебра
  • Автор: nazarkoshlatyy
  • Вопрос задан 9 лет назад

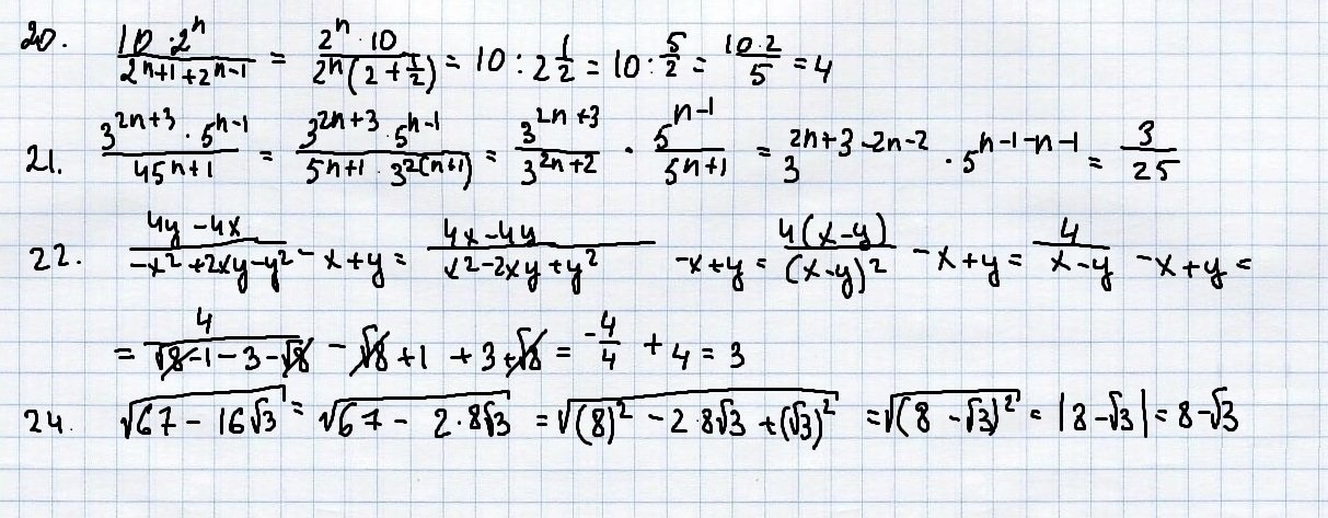
20-22 , 24 задание нужно

Приложения:

Ответы

Ответ дал: wejde
0
.....................
Приложения:
Ответ дал: Аноним
0
)))
Ответ дал: Аноним
0
фото//////////////////////////////////////////////////////
Приложения:
Ответ дал: nazarkoshlatyy
0
Ничего страшного , мне не срочно , а вас в 21 зад. не такой ответ как в преведущей девушки
Ответ дал: Аноним
0
такой же, только у меня в десятичной дроби, а у не в обыкнованной
Ответ дал: Аноним
0
и то, и о верно
Ответ дал: Аноним
0
и то, и другое)))
Ответ дал: nazarkoshlatyy
0
аа , понял , спасибооо)
Вас заинтересует