Ответы
Ответ дал:
0
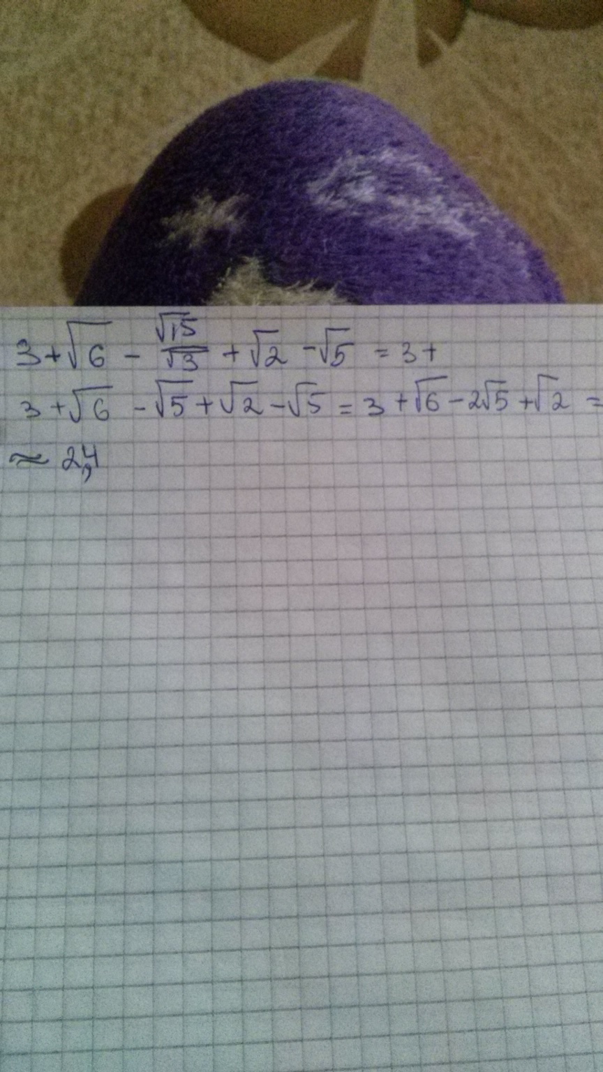
как то так. .......................
Приложения:

Ответ дал:
0
Нужно упростить, а не найти приближенное значение корня.
Ответ дал:
0
тогда ответ рядом с корнем
Вас заинтересует
2 года назад
7 лет назад
7 лет назад
9 лет назад
9 лет назад
10 лет назад