• Предмет: Алгебра
  • Автор: tvkitay
  • Вопрос задан 9 лет назад

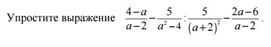
Решите пожалуйста())))))

Приложения:

Ответы

Ответ дал: 0300n
0
Вот надеюсь, что правильно
Приложения:
Вас заинтересует