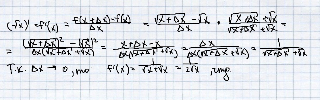
Производная. 100 баллов Покажите, пожалуйста, как продифференцировать корень из икс (Х). Не надо показывать таблицу производных или формулу производной степенной функции, которая в моем учебнике доказывалась для целых показателей степеней, а здесь 0.5. Просто от отвечающего требуется продифференцировать по аналогии (поэтапно), как показано с х^2 и х... 100 баллов автоматом. Рекомендуется тоже красиво написать на листочке и отправить, т.к. я не знаю, как вы разборчиво, не применяя всяких qrt( ), запишете ответ...
Приложения:

Ответы
Ответ дал:
0
.....................
Приложения:

Ответ дал:
0
большое спасибо, сам бы не догадался
Ответ дал:
0
:))
Ответ дал:
0
Приложения:

Вас заинтересует
2 года назад
7 лет назад
9 лет назад
9 лет назад