Ответы
Ответ дал:
0
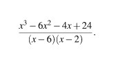
/ - это дробная черта, если что
^ - степень
1) выносим за скобки общий множитель x в степени 2
x^2 x (x-6) - 4 (x-6) / (x-6) x (x-2)
2) выносим за скобки общий множите x-6
(x62 -4) x (x-6) / (x-6) x (x-2)
3) разлагаем выражение на множители, используя а^2-b^2 = (a-b) (a+b)
(избавляемся от x-6)
и получается (x-2) x (x+2) / x-2
4) получается и упростим (x-2) x (x+2) / x-2
5) x+2
^ - степень
1) выносим за скобки общий множитель x в степени 2
x^2 x (x-6) - 4 (x-6) / (x-6) x (x-2)
2) выносим за скобки общий множите x-6
(x62 -4) x (x-6) / (x-6) x (x-2)
3) разлагаем выражение на множители, используя а^2-b^2 = (a-b) (a+b)
(избавляемся от x-6)
и получается (x-2) x (x+2) / x-2
4) получается и упростим (x-2) x (x+2) / x-2
5) x+2
Вас заинтересует
2 года назад
2 года назад
7 лет назад
7 лет назад
10 лет назад
10 лет назад