• Предмет: Математика
  • Автор: канат23
  • Вопрос задан 9 лет назад

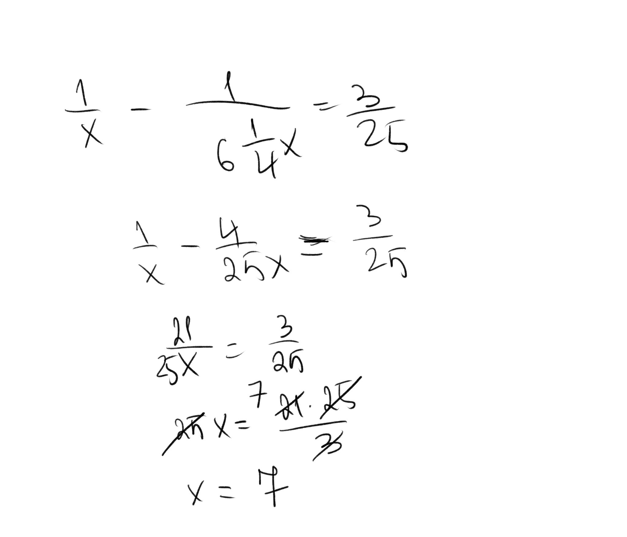
помогите пожалуйста решить уравнение 1/х-1/(6 1/4х)=3/25

Ответы

Ответ дал: DanarKa
0
Решение во вложении:

Приложения:
Ответ дал: канат23
0
спасибо
Ответ дал: DanarKa
0
не за что)
Вас заинтересует