• Предмет: Математика
  • Автор: hfkdgksgdh
  • Вопрос задан 9 лет назад

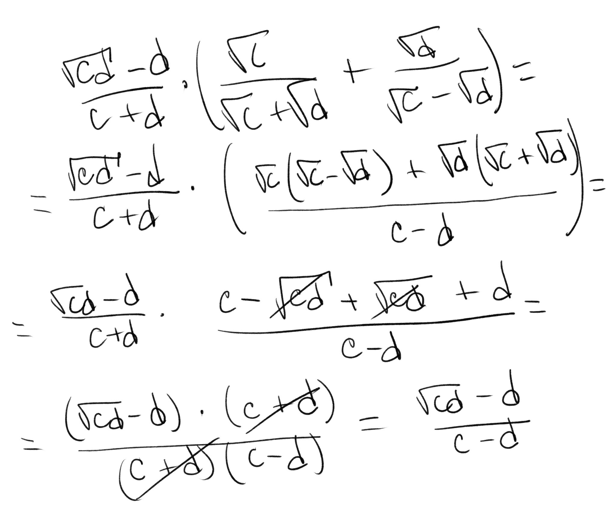
Здравствуйте, хелп ми плиз. Надеюсь, что все видно и понятно :)

Приложения:

Ответы

Ответ дал: DanarKa
0
решение во вложении:
Приложения:
Вас заинтересует