• Предмет: Алгебра
  • Автор: dashapotseluyk
  • Вопрос задан 9 лет назад

Помогите пожалуйста ! Срочно надо! № 2

Приложения:

Ответы

Ответ дал: preobragenochka
0
//////////////////////
Приложения:
Ответ дал: dashapotseluyk
0
Спасибо!
Ответ дал: DariosI
0
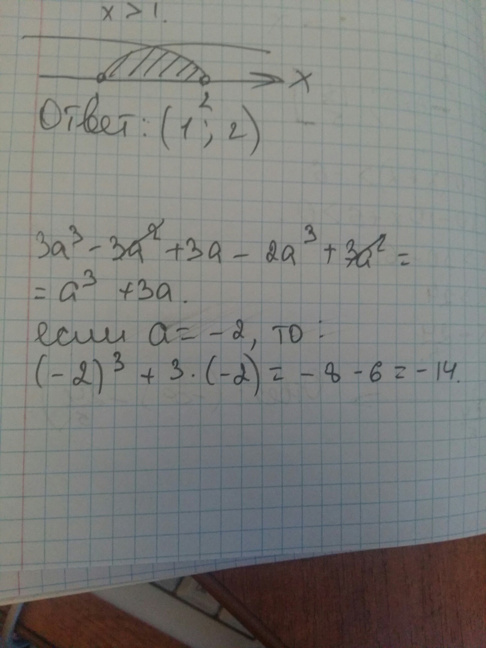
3а(а²-а+1)-0,5а²(4а-6)=3а³-3а²+3а-0,5*4а³+0,5*6а²=3а³-3а²+3а-2а³+3а²=а³+3а
а=-2
а³+3а=(-2)³+3(-2)=-8-6=-14
Приложения:
Ответ дал: dashapotseluyk
0
Спасибо!
Вас заинтересует