Ответы
Ответ дал:
0
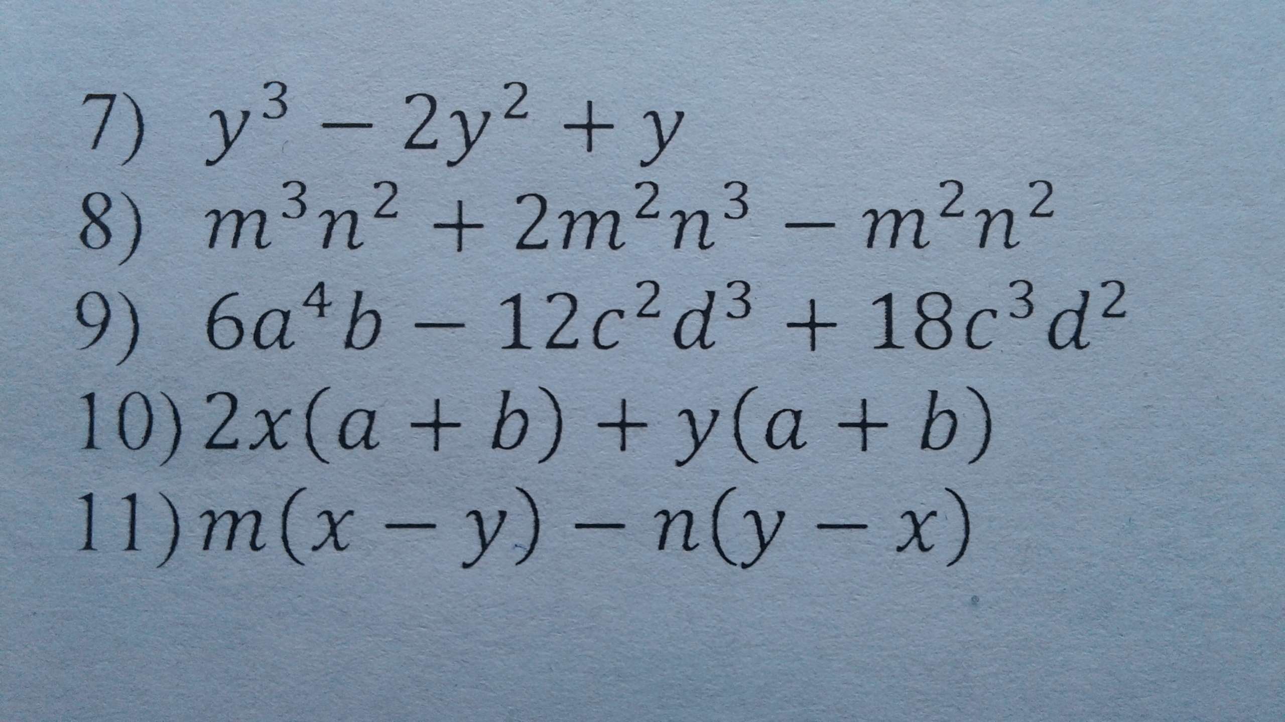
1. y(y^2-2y-1)
2. m^2n^2(m+2n-1);
3. 6(a^4b-2c^2d^3-3c^3d^2);
4. (2x+y)(a+b);
5. (m+n)(x-y).
2. m^2n^2(m+2n-1);
3. 6(a^4b-2c^2d^3-3c^3d^2);
4. (2x+y)(a+b);
5. (m+n)(x-y).
Ответ дал:
0
7. y(y^2-2y+1)
8. m^2 n^2 ( m+2n-1)
9. 6a^4b - 3c^2d^2(4d+6c)
8. m^2 n^2 ( m+2n-1)
9. 6a^4b - 3c^2d^2(4d+6c)
Вас заинтересует
2 года назад
7 лет назад
7 лет назад
10 лет назад