Ответы
Ответ дал:
0
учитывая, что ax² + bx + c = a(x - x1)(x - x2),
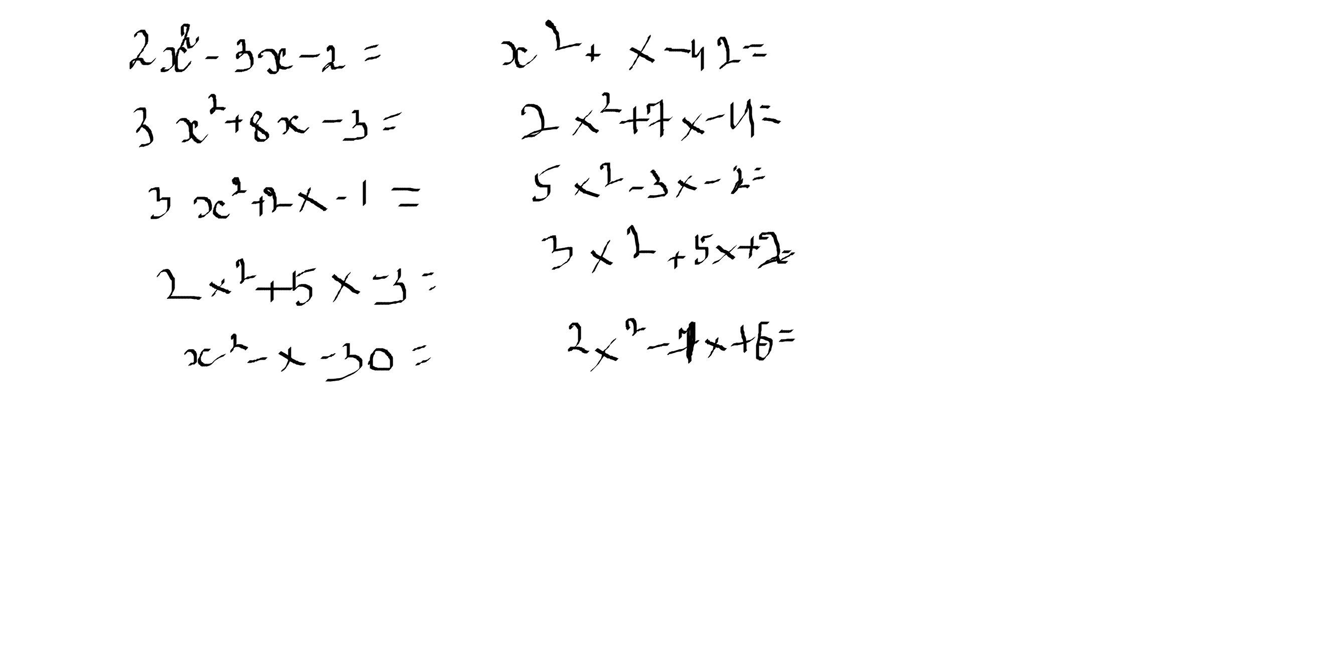
2x² - 3x- 2 = -2(x - 2)(x+0,5)
a = 2, b = -3, c = -2
D = b² - 4ac = 9 - 4*2*(-2) = 9 + 16 = 25
D > 0 ⇒ уравнение имеет 2 корня
x1 = (-b+√D)/2a = (3+5)/4 = 8/4 = 2
x2 = (3-5)/4 = -2/4 = -1/2 = -0,5
3x² + 8x - 3 = 3(x - 1/3)(x + 3)
a = 3, b = 8, c = -3
D = b² - 4ac = 64 - 4*(-3)(3) = 64+36 = 100
D > 0 ⇒ уравнение имеет 2 корня
x1 = (-b+√D)/2a = (-8+10)/2*3 = 2/6 = 1/3
x2 = (-8-10)/6 = -18/6 = -3
Дальше, думаю, нет смысла расписывать:)
3x² + 2x - 1 = 3(x-1/3)(x+1)
2x² + 5x - 3 = 2(x-1/2)(x+3)
x² - x - 30 = (x+5)(x-6)
2x² - 3x- 2 = -2(x - 2)(x+0,5)
a = 2, b = -3, c = -2
D = b² - 4ac = 9 - 4*2*(-2) = 9 + 16 = 25
D > 0 ⇒ уравнение имеет 2 корня
x1 = (-b+√D)/2a = (3+5)/4 = 8/4 = 2
x2 = (3-5)/4 = -2/4 = -1/2 = -0,5
3x² + 8x - 3 = 3(x - 1/3)(x + 3)
a = 3, b = 8, c = -3
D = b² - 4ac = 64 - 4*(-3)(3) = 64+36 = 100
D > 0 ⇒ уравнение имеет 2 корня
x1 = (-b+√D)/2a = (-8+10)/2*3 = 2/6 = 1/3
x2 = (-8-10)/6 = -18/6 = -3
Дальше, думаю, нет смысла расписывать:)
3x² + 2x - 1 = 3(x-1/3)(x+1)
2x² + 5x - 3 = 2(x-1/2)(x+3)
x² - x - 30 = (x+5)(x-6)
Ответ дал:
0
2х²-3х-2=(х-1)(х-0,5)
3х²+8х-3=(х-1/3)(х+3)
3х²+2х-1=(х+1/3)(х+1)
2х²+5х-3=(х-0,5)(х+3)
х²-х-30=(х-6,5)(х+5)
х²+х-42=(х-6)(х+7)
2х²+7х-4=(х-0,5)(х+4)
5х²-3х-2=(х-1)(х+0,4)
3х²+5х+2=(х+1)(х+2/3)
2х²-7х+6=(х-2)(х-3/2)
3х²+8х-3=(х-1/3)(х+3)
3х²+2х-1=(х+1/3)(х+1)
2х²+5х-3=(х-0,5)(х+3)
х²-х-30=(х-6,5)(х+5)
х²+х-42=(х-6)(х+7)
2х²+7х-4=(х-0,5)(х+4)
5х²-3х-2=(х-1)(х+0,4)
3х²+5х+2=(х+1)(х+2/3)
2х²-7х+6=(х-2)(х-3/2)
Вас заинтересует
2 года назад
7 лет назад
7 лет назад
10 лет назад
10 лет назад
10 лет назад