Ответы
Ответ дал:
0
..............................................
Приложения:


Ответ дал:
0
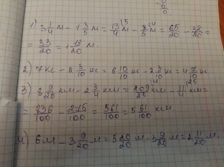
3 1/4 м - 1 3/5 м=3 5/20 м - 1 12/20 м=1 13/20 м
7 кг - 2 3/10 кг=7 - 2 -3/10=5 - 3/10=4 10/10 - 3/10=4 7/10 кг
8 9/25 км - 2 3/4 км=8 36/100 км - 2 75/100 км=8 36/100 - 2 - 75/100=6 36/100 - 75/100=5 136/100 - 75/100=5 61/100 км
6 м - 3 9/20 м=5 20/20 м - 3 9/20 м=2 11/20 м
5 7/12 ч - 2 4/5 ч=5 35/60 ч - 2 48/60 ч=3 35/60 - 48/60=2 95/60 - 48/60=2 47/60 ч
3 2/15 ч - 1/4 ч=3 8/60 - 15/60=2 68/60 - 15/60=2 53/60 ч
7 кг - 2 3/10 кг=7 - 2 -3/10=5 - 3/10=4 10/10 - 3/10=4 7/10 кг
8 9/25 км - 2 3/4 км=8 36/100 км - 2 75/100 км=8 36/100 - 2 - 75/100=6 36/100 - 75/100=5 136/100 - 75/100=5 61/100 км
6 м - 3 9/20 м=5 20/20 м - 3 9/20 м=2 11/20 м
5 7/12 ч - 2 4/5 ч=5 35/60 ч - 2 48/60 ч=3 35/60 - 48/60=2 95/60 - 48/60=2 47/60 ч
3 2/15 ч - 1/4 ч=3 8/60 - 15/60=2 68/60 - 15/60=2 53/60 ч
Приложения:


Вас заинтересует
2 года назад
2 года назад
7 лет назад
7 лет назад
9 лет назад
10 лет назад
10 лет назад