Ответы
Ответ дал:
0
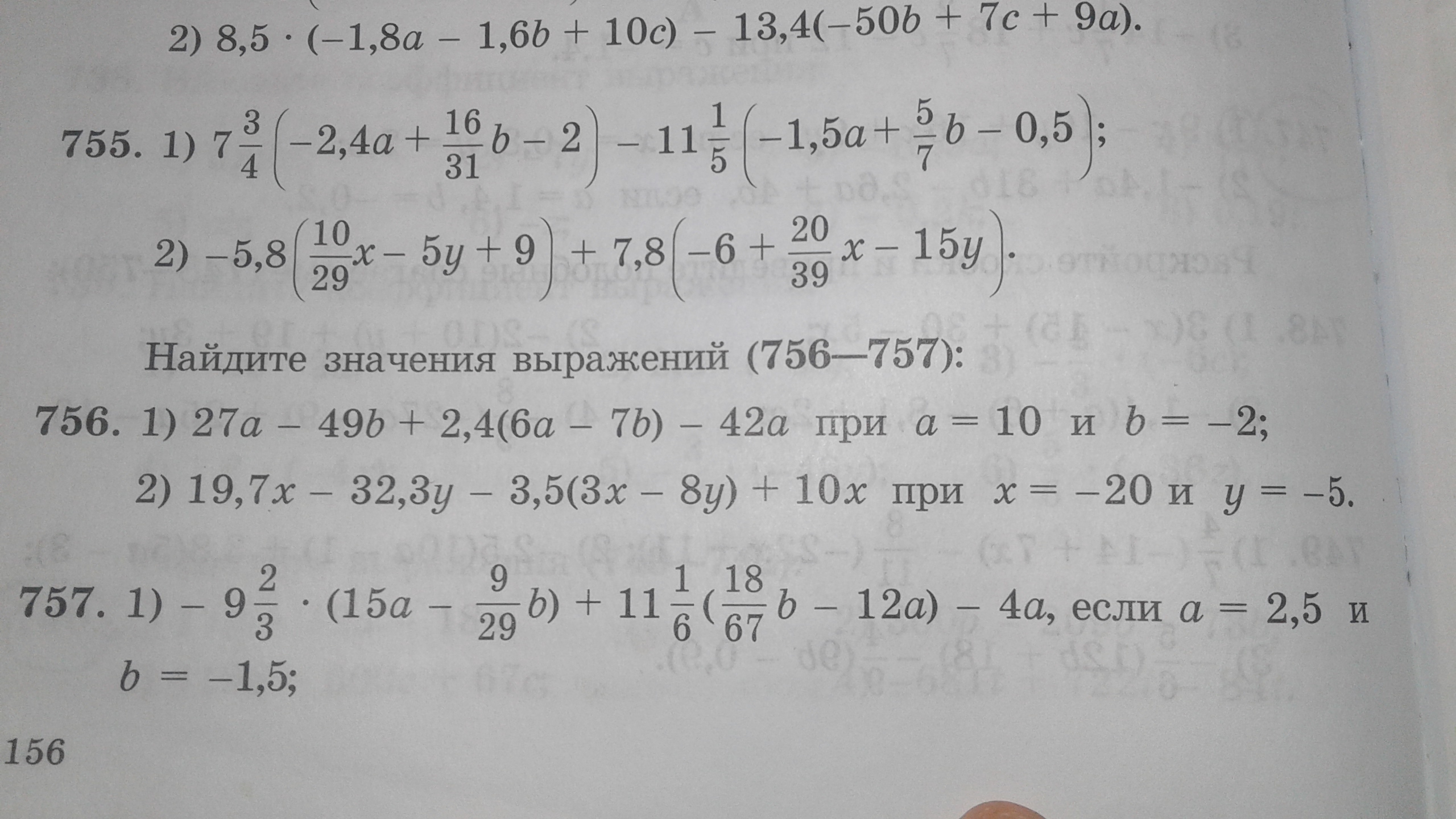
756
1) 270 + 98 + 2,4*74 - 420 = 125,6
2) = (19,7 - 10,5)*х - 4,3*у = 9,2*у - 4,3*у = --184 + 21,5 = - 162,5
1) 270 + 98 + 2,4*74 - 420 = 125,6
2) = (19,7 - 10,5)*х - 4,3*у = 9,2*у - 4,3*у = --184 + 21,5 = - 162,5
Вас заинтересует
2 года назад
2 года назад
10 лет назад
10 лет назад
10 лет назад