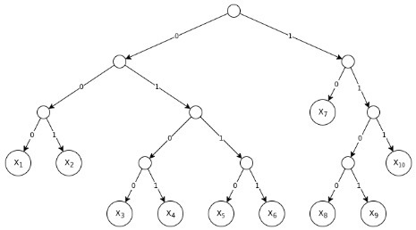
Будем использовать кодирование с помощью дерева, в листьях которого написаны буквы, а на каждом ребре — либо 0 либо 1 (см. рисунок). Чтобы закодировать букву, нужно пройти по дереву от корня до этой буквы, записав все цифры на ребрах этого пути. Мы закодировали фразу “мистерфокссмотрелкомикс” и получили последовательность:
000010110010001110110110100111110100000010100011001111100111001000010111110
Определите, какая переменная какой букве соответствует в дереве. В ответ запишите подряд без пробелов 10 букв, соответствующих 
,
, … , 
Помогите пожалуйста, это из олимпиады Фоксфорд, но это домашняя работа...
Приложения:
Ответы
Ответ дал:
0
ОТВЕТ:
МОТИРЕСЛФК
(решение см. на прикреплённом файле)
МОТИРЕСЛФК
(решение см. на прикреплённом файле)
Приложения:
Вас заинтересует
2 года назад
2 года назад
7 лет назад
10 лет назад
10 лет назад
10 лет назад
10 лет назад