• Предмет: Алгебра
  • Автор: tatjana2002nik
  • Вопрос задан 9 лет назад

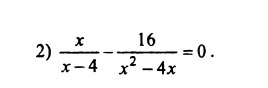
решите уравнение пожалуйста

Приложения:

Ответы

Ответ дал: НоВыЙ13
0
на фото решение уравнения
Приложения:
Вас заинтересует