• Предмет: Алгебра
  • Автор: Анюта20
  • Вопрос задан 9 лет назад

Ребята ,помогите пожалуйста.ОЧЕНЬ СРОЧНО
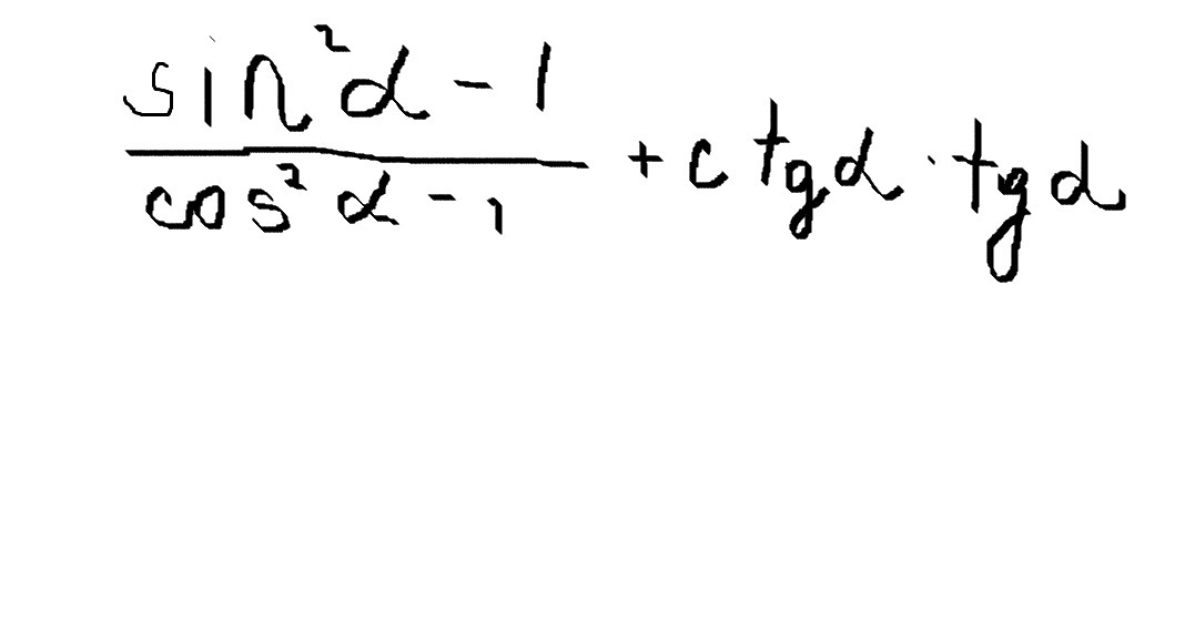
Упростите:

Приложения:

Ответы

Ответ дал: mefody66
0
Это очень просто
 frac{sin^2 a-1}{cos^2 a - 1} +tg a*ctg a= frac{1-sin^2a}{1-cos^2a}+1= frac{1-sin^2a+1-cos^2a}{1-cos^2a} = frac{1+1-1}{sin^2a}= frac{1}{sin^2a}
Вас заинтересует