• Предмет: Алгебра
  • Автор: Кариночка78
  • Вопрос задан 9 лет назад

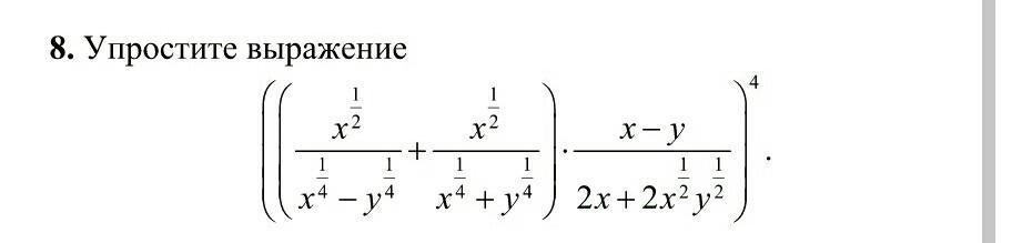
Упростить выражение.

Приложения:

Ответы

Ответ дал: amin07am
0
Ответ ответ ответ ответ ответ ответ
Приложения:
Ответ дал: Кариночка78
0
спасибо большое))
Ответ дал: Ойлёнчик
0
Можно записать дробные степени в виде корня.
Приложения:
Ответ дал: Кариночка78
0
спасибо большое))
Вас заинтересует