• Предмет: Алгебра
  • Автор: arinabudovskaya
  • Вопрос задан 9 лет назад

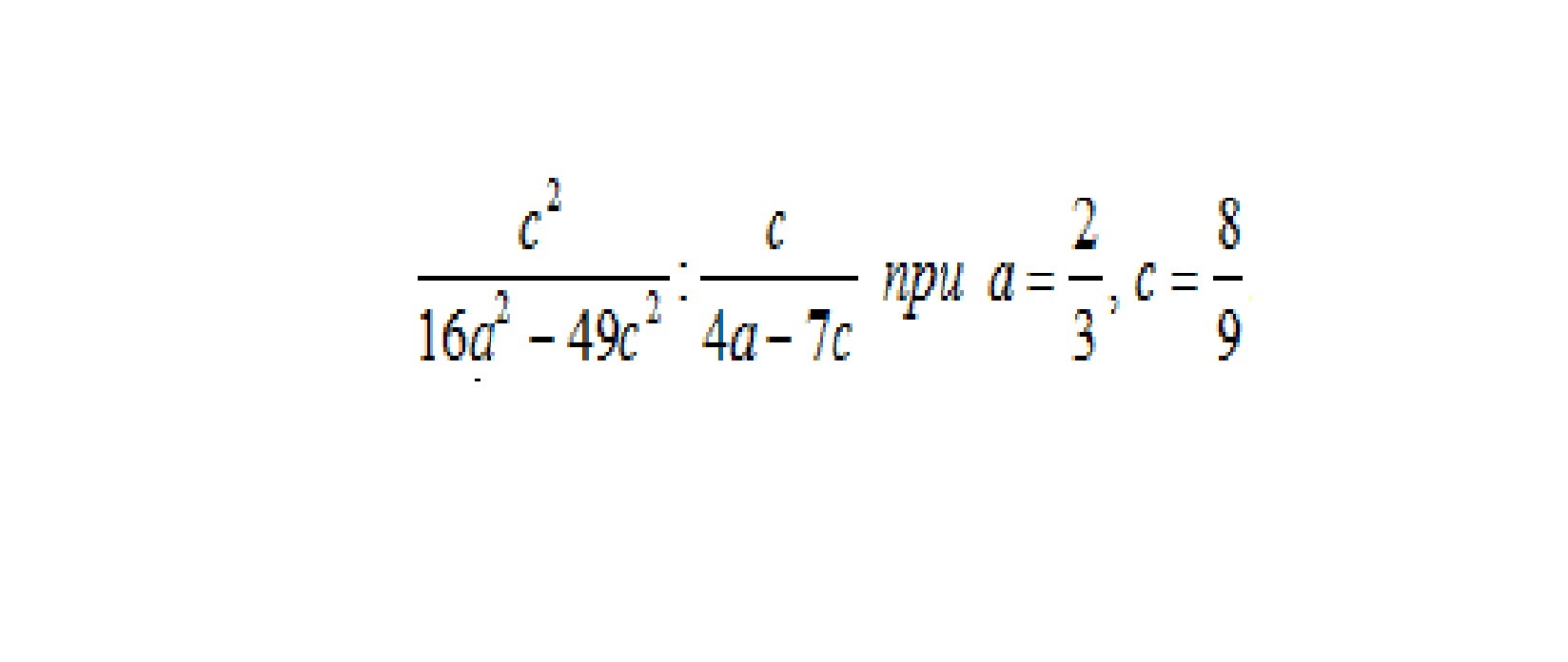
помогите пожалуйста решить!нужен только ответ

Приложения:

Ответы

Ответ дал: nimfa1897
0
 ответ к номеру 0,1 или  frac{1}{10}
Вас заинтересует