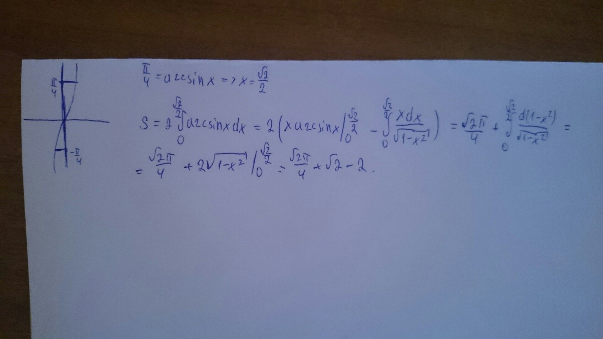
Найти площадь фигуры, ограниченной линиями: y=arcsin(x), y=П/4, y=-П/4, x=0. решать через интеграл
Ответы
Ответ дал:
0
Прикрепляю решение :)
Приложения:

Вас заинтересует
2 года назад
7 лет назад
7 лет назад
9 лет назад
9 лет назад