• Предмет: Биология
  • Автор: mihail174rus
  • Вопрос задан 9 лет назад

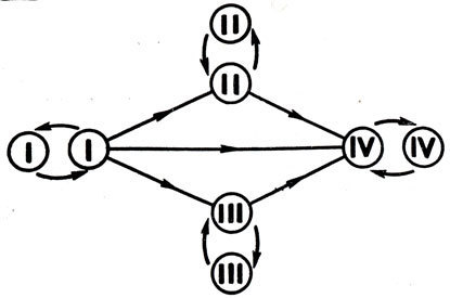
составить схему совместимости групп для переливания крови.

Ответы

Ответ дал: Лика061
0
Ответ смотри в изображении.
Приложения:
Вас заинтересует