Ответы
Ответ дал:
0
{cosxcosx=-1
{sinxsiny=0
прибавим и отнимем
{cosxcosy+sinxsiny=-1⇒cos(x-y)=-1⇒x-y=π
{cosxcosy-sinxsiny=-1⇒cos(x+y)=-1⇒x+y=π
прибавим
2x=2π
x=π+πn,n∈z
y=π+πn-0
y=π+πn+πk,n∈z,k∈z
{sinxsiny=0
прибавим и отнимем
{cosxcosy+sinxsiny=-1⇒cos(x-y)=-1⇒x-y=π
{cosxcosy-sinxsiny=-1⇒cos(x+y)=-1⇒x+y=π
прибавим
2x=2π
x=π+πn,n∈z
y=π+πn-0
y=π+πn+πk,n∈z,k∈z
Ответ дал:
0
что то не так -1 это пи +2пк вы могли бы чты вы сделали конце если к примет 1 а н примет 0 то уравнение будет неправильной
Ответ дал:
0
могли бы вы объясниьь что сделали вы конце
Ответ дал:
0
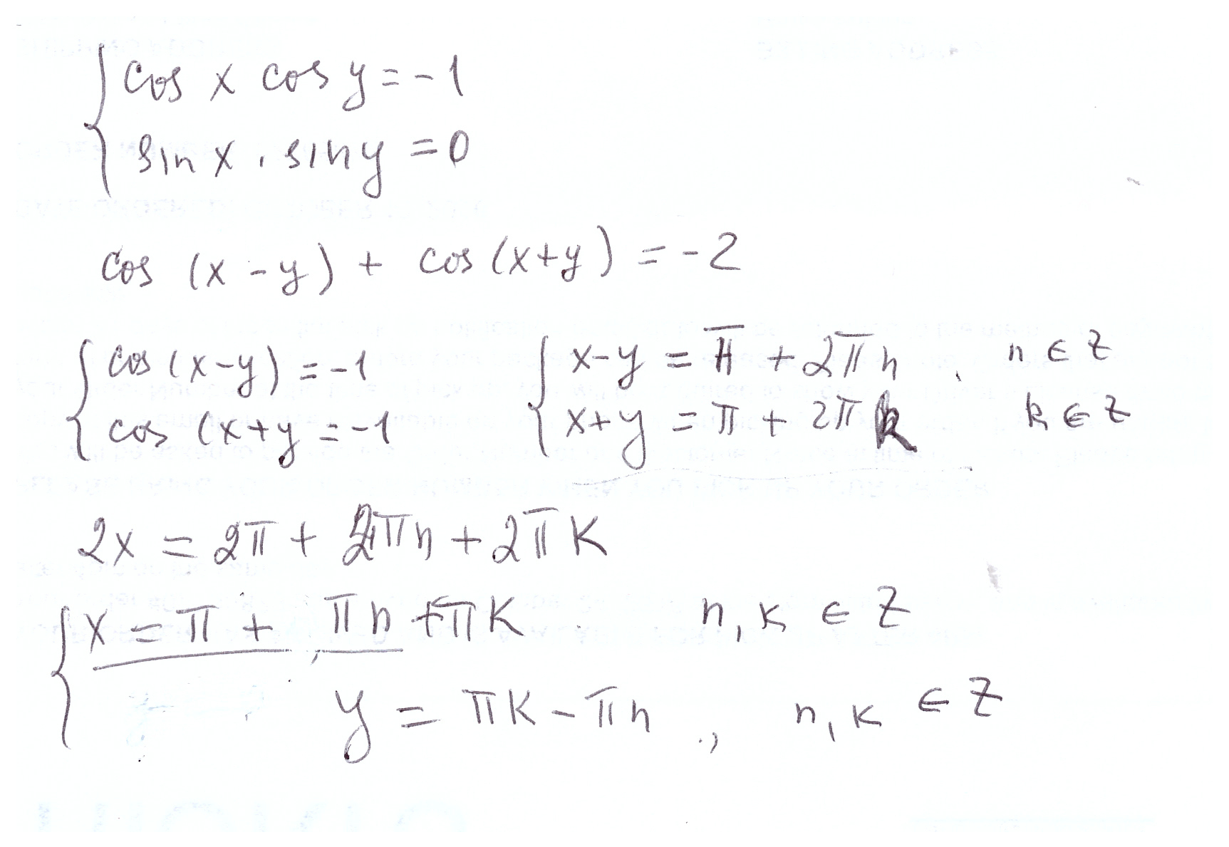
Смотри вложенный файл
Приложения:
Ответ дал:
0
ты докончил что не докончила светлана
Вас заинтересует
2 года назад
2 года назад
7 лет назад
7 лет назад
10 лет назад
10 лет назад
10 лет назад