• Предмет: Математика
  • Автор: TheСтанислав
  • Вопрос задан 9 лет назад

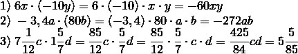
Помогите пожалуйста: Преобразуйте в тождественно равные выражения:1)6х*(-10у); 2)-3,4а*(80б); 3) 7целых 1 двенадцатыхС * 1целых 5 седьмых d; 4)2,7nm*(2целых 1 девятых t 5) -1,1(50а-с) 6

Ответы

Ответ дал: Trover
0
1);6xcdot(-10y) = 6cdot(-10)cdot xcdot y=-60xy\2);-3,4acdot(80b)=(-3,4)cdot80cdot acdot b=-272ab\3);7frac1{12}ccdot1frac57d=frac{85}{12}ccdotfrac57d=frac{85}{12}cdotfrac57cdot ccdot d=frac{425}{84}cd=5frac{5}{85}
Приложения:
Вас заинтересует