• Предмет: Математика
  • Автор: valerabraslet
  • Вопрос задан 9 лет назад

Срочно!!! Найдите наименьшее значение функции

Приложения:

Ответы

Ответ дал: Trover
0
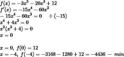
f(x)=-3x^5-20x^3+12\f'(x)=-15x^4-60x^2\-15x^4-60x^2=0;;;;div(-15)\x^4+4x^2=0\x^2(x^2+4)=0\x=0\\x=0,;f(0)=12\x=-4,;f(-4)=-3168-1280+12=-4436;-;min
Приложения:
Вас заинтересует