Ответы
Ответ дал:
0
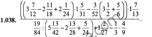
1) 3⁷/₁₂ - 2 ¹¹/₁₈ = ⁴³/₁₂ - ⁴⁷/₁₈ = ⁴³ˣ³/₃₆ - ⁴⁷ˣ²/₃₆ = ⁴³ˣ³/₃₆ - ⁴⁷ˣ²/₃₆ = ³⁵/₃₆
2) ³⁵/₃₆ + 2¹/₂₄ = ³⁵/₃₆ + ⁴⁹/₂₄ = ³⁵ˣ²/₇₂ + ⁴⁹ˣ³/₇₂ = ⁷⁰⁺¹⁴⁷/₇₂ = ²¹⁷/₇₂
3) ²¹⁷/₇₂ × 1⁵/₃₁ = ²¹⁷/₇₂ × ³⁶/₃₁ = ²¹⁷ˣ³⁶/₇₂ₓ₃₁ = ⁷/₂
4) 3¹/₂ + ⁵/₆ = ⁷/₂ + ⁵/₆ = ⁷ˣ³/₆ + ⁵/₆ = ²¹⁺⁵/₆ = ²⁶/₆
5) ³/₅₂ײ⁶/₆ = ³ˣ²⁶/₅₂ₓ₆ = ¹/₄
6) ⁷/₂ - ¹/₄ = ⁷ˣ²/₄ - ¹/₄ = ¹⁴⁻¹/₄ = ¹³/₄
7) ¹³/₄ × 1⁷/₁₃ = ¹³/₄ × ²⁰/₁₃ = ¹³ˣ²⁰/₄ₓ₁₃ = ²⁰/₄ = 5
************************
8) 5¹³/₄₂ - 2¹³/₂₈ = 5¹³/₄₂ - 2¹³/₂₈ = ²²³/₄₂ - ⁶⁹/₂₈ = ²²³ˣ²/₈₄ - ⁶⁹ˣ³/₈₄ = ⁴⁴⁶/₈₄ - ²⁰⁷/₈₄=
⁴⁴⁶⁻²⁰⁷/₈₄ = ²³⁹/₈₄
9) ²³⁹/₈₄ + ⁵/₂₄ = ²³⁹ˣ²⁴/₂₀₁₆ + ⁵ˣ⁸⁴/₂₀₁₆ = ⁵⁷³⁶/₂₀₁₆ + ⁴²⁰/₂₀₁₆ = ⁵⁷³⁶⁺⁴²⁰/₂₀₁₆ =
⁶¹⁵⁶/₂₀₁₆
10) ¹⁹/₈₄ : ⁶¹⁵⁶/₂₀₁₆ = ¹⁹/₈₄ × ²⁰¹⁶/₆₁₅₆ = ¹⁹ˣ²⁰¹⁶/₈₄ₓ₆₁₅₆ = ¹⁹ˣ²⁴/₆₁₅₆ = ²⁴/₃₂₄ = ²/₂₇
11) ¹/₃ × ⁴/₉ = ¹ˣ⁴/₃ₓ₉ = ⁴/₂₇
12) ²/₂₇ + 1²/₂₇ = 1⁴/₂₇
13) 1⁴/₂₄ - ⁴/₇ = 1
******************
14) 5 : 1 = 5
Ответ: 5
2) ³⁵/₃₆ + 2¹/₂₄ = ³⁵/₃₆ + ⁴⁹/₂₄ = ³⁵ˣ²/₇₂ + ⁴⁹ˣ³/₇₂ = ⁷⁰⁺¹⁴⁷/₇₂ = ²¹⁷/₇₂
3) ²¹⁷/₇₂ × 1⁵/₃₁ = ²¹⁷/₇₂ × ³⁶/₃₁ = ²¹⁷ˣ³⁶/₇₂ₓ₃₁ = ⁷/₂
4) 3¹/₂ + ⁵/₆ = ⁷/₂ + ⁵/₆ = ⁷ˣ³/₆ + ⁵/₆ = ²¹⁺⁵/₆ = ²⁶/₆
5) ³/₅₂ײ⁶/₆ = ³ˣ²⁶/₅₂ₓ₆ = ¹/₄
6) ⁷/₂ - ¹/₄ = ⁷ˣ²/₄ - ¹/₄ = ¹⁴⁻¹/₄ = ¹³/₄
7) ¹³/₄ × 1⁷/₁₃ = ¹³/₄ × ²⁰/₁₃ = ¹³ˣ²⁰/₄ₓ₁₃ = ²⁰/₄ = 5
************************
8) 5¹³/₄₂ - 2¹³/₂₈ = 5¹³/₄₂ - 2¹³/₂₈ = ²²³/₄₂ - ⁶⁹/₂₈ = ²²³ˣ²/₈₄ - ⁶⁹ˣ³/₈₄ = ⁴⁴⁶/₈₄ - ²⁰⁷/₈₄=
⁴⁴⁶⁻²⁰⁷/₈₄ = ²³⁹/₈₄
9) ²³⁹/₈₄ + ⁵/₂₄ = ²³⁹ˣ²⁴/₂₀₁₆ + ⁵ˣ⁸⁴/₂₀₁₆ = ⁵⁷³⁶/₂₀₁₆ + ⁴²⁰/₂₀₁₆ = ⁵⁷³⁶⁺⁴²⁰/₂₀₁₆ =
⁶¹⁵⁶/₂₀₁₆
10) ¹⁹/₈₄ : ⁶¹⁵⁶/₂₀₁₆ = ¹⁹/₈₄ × ²⁰¹⁶/₆₁₅₆ = ¹⁹ˣ²⁰¹⁶/₈₄ₓ₆₁₅₆ = ¹⁹ˣ²⁴/₆₁₅₆ = ²⁴/₃₂₄ = ²/₂₇
11) ¹/₃ × ⁴/₉ = ¹ˣ⁴/₃ₓ₉ = ⁴/₂₇
12) ²/₂₇ + 1²/₂₇ = 1⁴/₂₇
13) 1⁴/₂₄ - ⁴/₇ = 1
******************
14) 5 : 1 = 5
Ответ: 5
Вас заинтересует
2 года назад
7 лет назад
7 лет назад
10 лет назад
10 лет назад