• Предмет: Математика
  • Автор: pavel232
  • Вопрос задан 9 лет назад

до решить очень надо!

Приложения:

Ответы

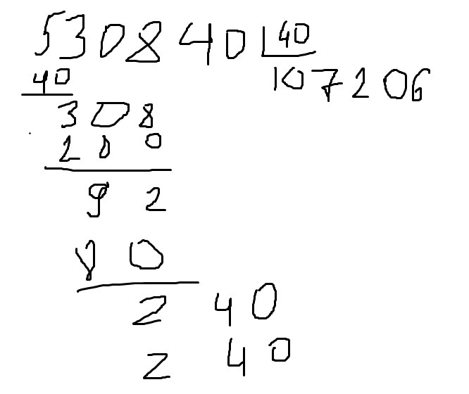
Ответ дал: dron4iik
0
Ответ на картинке, с решением

Приложения:
Ответ дал: ksyusharybina
0
вот по моему зделала правельно
Приложения:
Вас заинтересует