• Предмет: Математика
  • Автор: ugfcuwe
  • Вопрос задан 9 лет назад

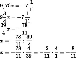
Решите уравнение: 9,75*x= -7 целых 1/11(минус семь целых одна одиннадцатая)

Ответы

Ответ дал: Trover
0
9,75x=-7frac1{11}\9frac34x=-7frac1{11}\frac{39}4x=-frac{78}{11}\x=-frac{78}{11}:frac{39}4\x=-frac{78}{11}cdotfrac4{39}=-frac2{11}cdotfrac41=-frac8{11}
Приложения:
Вас заинтересует