• Предмет: Алгебра
  • Автор: СойФонг2
  • Вопрос задан 9 лет назад

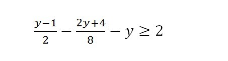
Розвязати нерівність.

Приложения:

Ответы

Ответ дал: zarembo73
0
 frac{y-1}{2}- frac{2y+4}{8}  -y geq 2; |*8
4(y-1)-(2y+4)-8y≥16;
4y-4-2y-4-8y≥16;
-6y≥24;
y≤-4.
Ответ: (-∞;-4].

Вас заинтересует