• Предмет: Математика
  • Автор: adadadawd
  • Вопрос задан 9 лет назад

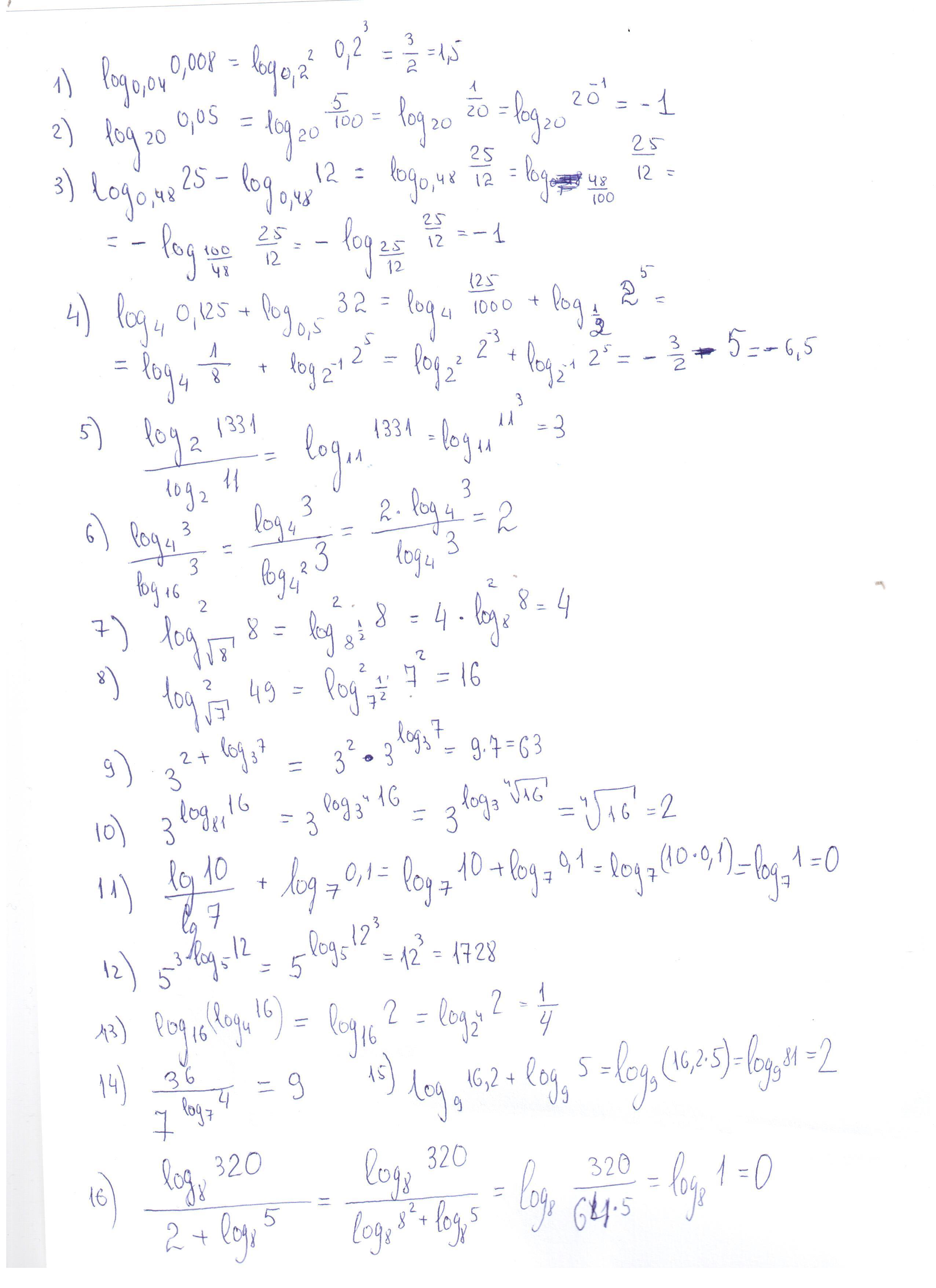
Помогите пожалуйста,нужно решить уравнения Логарифмы В7

Приложения:

Ответы

Ответ дал: valenivan
0
Файл приложен  с решениями 16 заданий
Приложения:
Вас заинтересует