Ответы
Ответ дал:
0
1
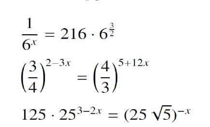
1/6^x=216*6^3/2
6^-x=6^(3+1,5)
-x=4,5
x=-4,5
2
(3/4)^(2-3x)=(4/3)^(5+12x)
(4/3)^3x-2=(4/3)^5+12x
3x-2=12x+5
12x-3x=-2-5
9x=-7
x=-7/9
3
125*25^(3-2x)=(25√5)^x
5^(3+2(3-2x))=(5^(2+0,5))^x
5^(9-4x)=5^(2,5x)
9-4x=2,5x
2,5x+4x=9
6,5x=9
x=9:6,5
x=18/13
1/6^x=216*6^3/2
6^-x=6^(3+1,5)
-x=4,5
x=-4,5
2
(3/4)^(2-3x)=(4/3)^(5+12x)
(4/3)^3x-2=(4/3)^5+12x
3x-2=12x+5
12x-3x=-2-5
9x=-7
x=-7/9
3
125*25^(3-2x)=(25√5)^x
5^(3+2(3-2x))=(5^(2+0,5))^x
5^(9-4x)=5^(2,5x)
9-4x=2,5x
2,5x+4x=9
6,5x=9
x=9:6,5
x=18/13
Вас заинтересует
2 года назад
2 года назад
7 лет назад
10 лет назад
10 лет назад
10 лет назад