• Предмет: Математика
  • Автор: SanyC111
  • Вопрос задан 9 лет назад

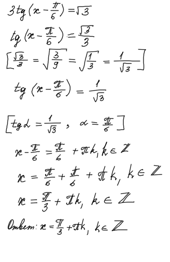
3Tg(x-pi/6)=корень из 3

Ответы

Ответ дал: UluanaV
0
Решение в прикреплённом файле.
Приложения:
Вас заинтересует