• Предмет: Математика
  • Автор: asanova497
  • Вопрос задан 9 лет назад

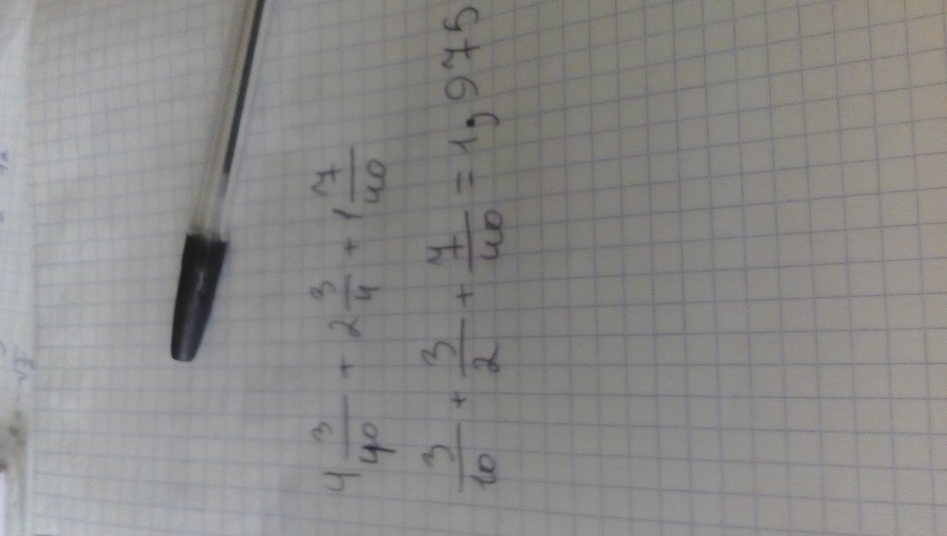
помогите пож сделать самостоялку и побыстрее

Приложения:

Ответы

Ответ дал: Mihail11111111
0
_(,(,(_,(,#,(,?(,(,(,?(,#,#,#,?
Приложения:
Вас заинтересует