• Предмет: Алгебра
  • Автор: AzizovaAnna201
  • Вопрос задан 9 лет назад

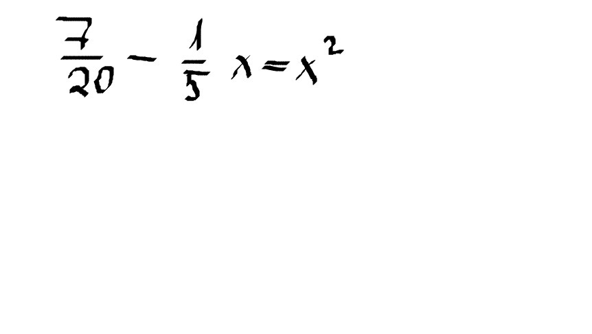
Помогите пожалуйста решить квадратное уравнение.
P.s: уравнение нужно будет на что-то домножить

Приложения:

Ответа на этот вопрос пока нет. Попробуйте найти его через форму поиска.

Вас заинтересует