Боги математики вы где? Мне нужна срочно помощь и поэтому призываю Вас! Не проходи мимо. Помогите,пожалуйста. По буквой е и в тетради два последних примера.
Приложения:
Ответы
Ответ дал:
0
e
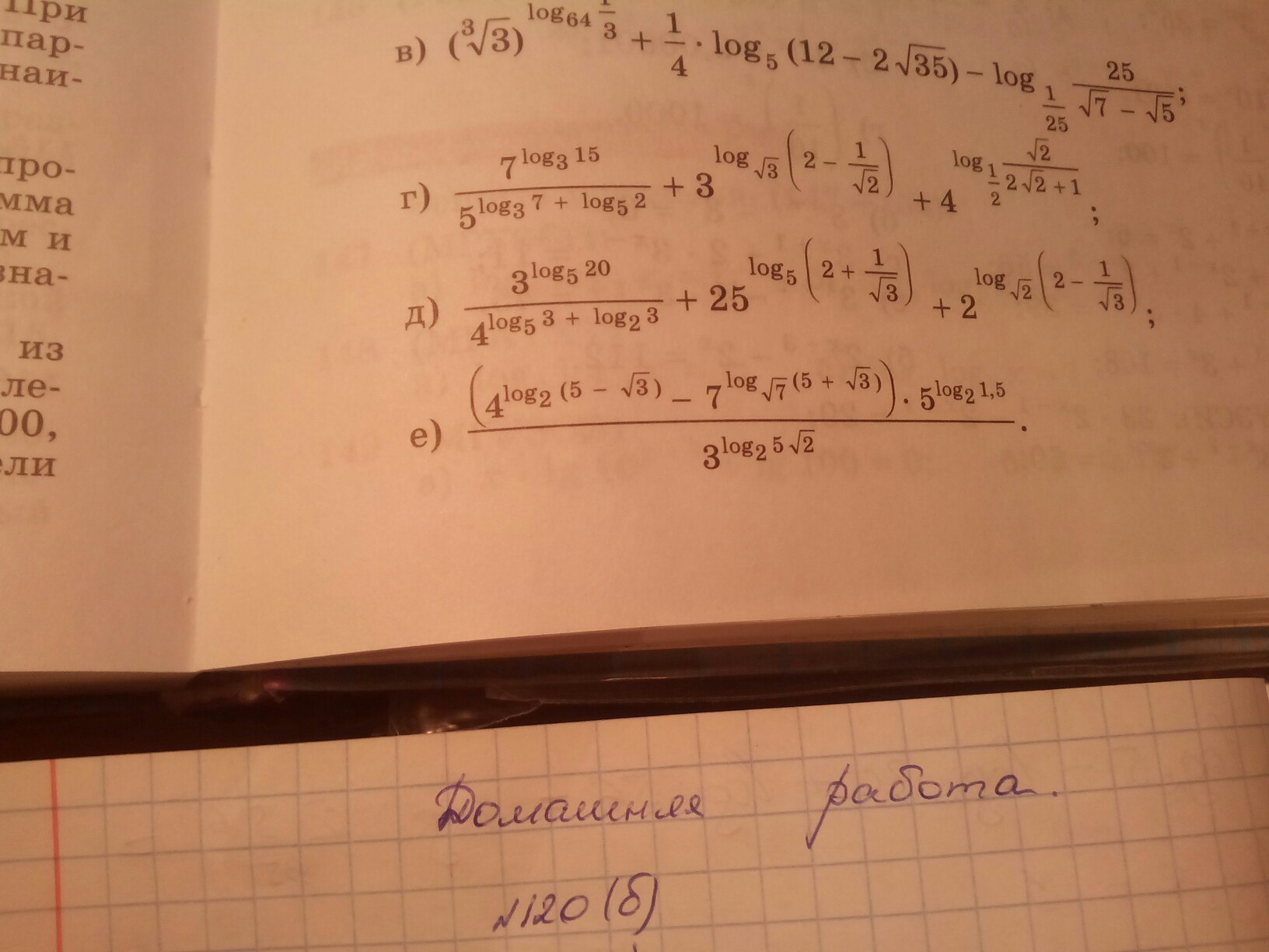
(2^2log(2)(5-√3)-(√7)^2log(√7)(5+√3))*5^log(2)1,5/3^log(2)5√2=
=(2^log(2)(5-√3)²-(√7)^log(√7)(5+√3)²)*5^(log(2)3-1)/3^(log(2)5-0,5)=
=((5-√3)²-(5+²3)²)*5^log(2)3/(5*√3*5^log(2)3)=
=(25-10√3+3-25-10√3-3)/√3=-20√3/5√3=-4
---------------------------
5^log(2)3=3^log(2)5
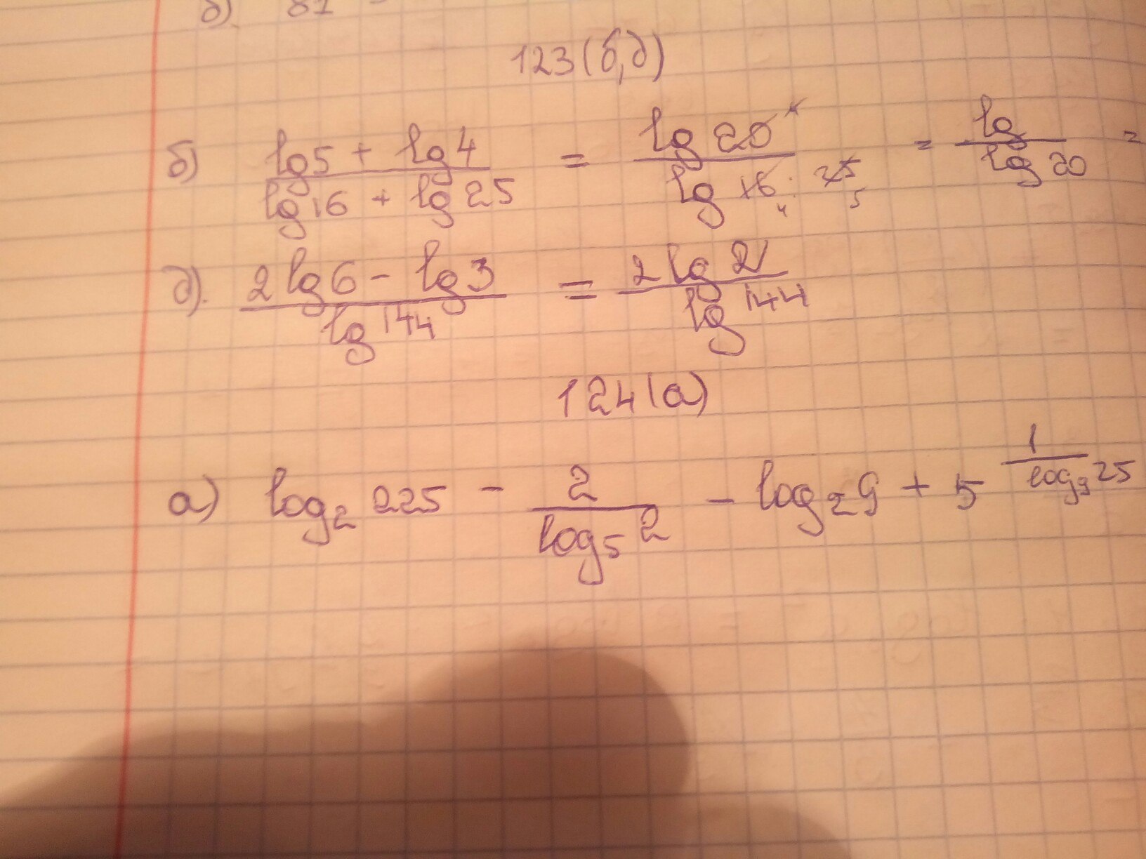
б
(lg5+lg4)/(lg16+lg25)=lg(5*4)/lg(16*25)=lg20/lg400=lg(400)20=1/2
д
(2lg6-lg3)/lg144=(lg36-lg3)/lg144=lg(36/3)/lg144=lg12/lg144=lg(144)12=1/2
---------------------------------------
log(c)a/log(c)b=log(b)a
(2^2log(2)(5-√3)-(√7)^2log(√7)(5+√3))*5^log(2)1,5/3^log(2)5√2=
=(2^log(2)(5-√3)²-(√7)^log(√7)(5+√3)²)*5^(log(2)3-1)/3^(log(2)5-0,5)=
=((5-√3)²-(5+²3)²)*5^log(2)3/(5*√3*5^log(2)3)=
=(25-10√3+3-25-10√3-3)/√3=-20√3/5√3=-4
---------------------------
5^log(2)3=3^log(2)5
б
(lg5+lg4)/(lg16+lg25)=lg(5*4)/lg(16*25)=lg20/lg400=lg(400)20=1/2
д
(2lg6-lg3)/lg144=(lg36-lg3)/lg144=lg(36/3)/lg144=lg12/lg144=lg(144)12=1/2
---------------------------------------
log(c)a/log(c)b=log(b)a
Вас заинтересует
3 года назад
3 года назад
7 лет назад
7 лет назад
10 лет назад
10 лет назад