Ответы
Ответ дал:
0
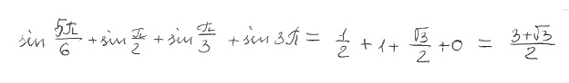
одна целая плюс (дробь) в числителе 1 плюс корень из 3 , знаменатель 2
Ответ дал:
0
_______________________
Приложения:

Вас заинтересует
2 года назад
8 лет назад
10 лет назад
10 лет назад
10 лет назад