• Предмет: Алгебра
  • Автор: fhnbfhnb1
  • Вопрос задан 11 лет назад

Ребят,пожалуйста,решите !!!фото во вложение))) 

Приложения:

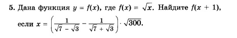
Ответы

Ответ дал: Гоша68
0

x=10*sqrt(3)*(2sqrt(3))/4=15

f(x+1)=f(16)

f(x)=sqrt(x)

f(16)=sqrt(16)=+-4

Ответ дал: AxwellAlex
0

Извини, что долго, сверся с ответами также

f(x+1)=корень из((1/(√7-√3)-1/(√7+√3)*√(300) + 1)=

корень из((√7+√3-√7+√3)/((√7-√3)(√7+√3))*√(300)+1)=

корень из(2*√(3*300)/4 +1)=

корень из(2*30/4+1)=корень из (15+1)=√16=4

Вас заинтересует