• Предмет: Математика
  • Автор: Юлиана7878
  • Вопрос задан 9 лет назад

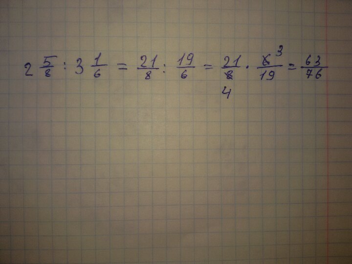
Очень срочно!!! 2 5/8 : 3 1/6 помоготе!!!

Ответы

Ответ дал: a1aa1aaa1aaa1aa1a
0
решение на фотографии, надеюсь всё понятно
Приложения:
Ответ дал: martial9
0
2 5/8 / 3 1/6=21/8 *6/19=126/152=63/76
Приложения:
Ответ дал: martial9
0
пожалуйста давай перепишемся если время есть
Вас заинтересует